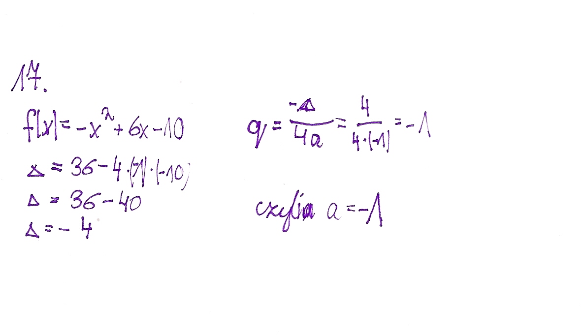
17. Prosta o równaniu y=a ma dokładnie jeden punkt wspólny z wykresem funkcji kwadratowej f(x) = -x²+6x-10 . Wynika stąd , że : a) a=3 b) a=0 c) a=-1 d) a=-3

Zadanie 6271 (rozwiązane)

Ekspresowy Kurs Maturalny z matematyki

Zdajesz matematykę bo musisz? Przygotuj się do matury nawet w 7 dni! Zapisz się dzisiaj
Zadanie dodane przez alexandra100 , 08.04.2013 16:49
Default avatar
17. Prosta o równaniu y=a ma dokładnie jeden punkt wspólny z wykresem funkcji kwadratowej f(x) = -x²+6x-10 . Wynika stąd , że :
a) a=3
b) a=0
c) a=-1
d) a=-3

Nadesłane rozwiązania ( 1 )

Rozwiązanie 1 dodane przez malwin19937 , 14.04.2013 14:41
Malwin19937 20130322190518 thumb
Rozw.
Musisz się zalogować aby dodać komentarz

Znasz inny sposób na rozwiązanie tego zadania?

Dodaj swoje rozwiązanie

Dodaj swoje rozwiązanie:

Zabronione jest kopiowanie wszelkich treści!
Musisz się zalogować aby dodać rozwiazanie do zadania.
Strona korzysta z plików cookie w celu realizacji usług zgodnie z Polityką Prywatności. Możesz określić warunki przechowywania lub dostępu do cookie w twojej przeglądarce lub konfiguracji usługi.