moze ktos pomoze i rozwiaze , chce sprawdzic czy robie dobrze prosze

Zadanie 6451 (rozwiązane)

Ekspresowy Kurs Maturalny z matematyki

Zdajesz matematykę bo musisz? Przygotuj się do matury nawet w 7 dni! Zapisz się dzisiaj
Zadanie dodane przez patrykbons , 30.05.2013 08:22
Patrykbons 20121203052936 thumb
moze ktos pomoze i rozwiaze , chce sprawdzic czy robie dobrze prosze

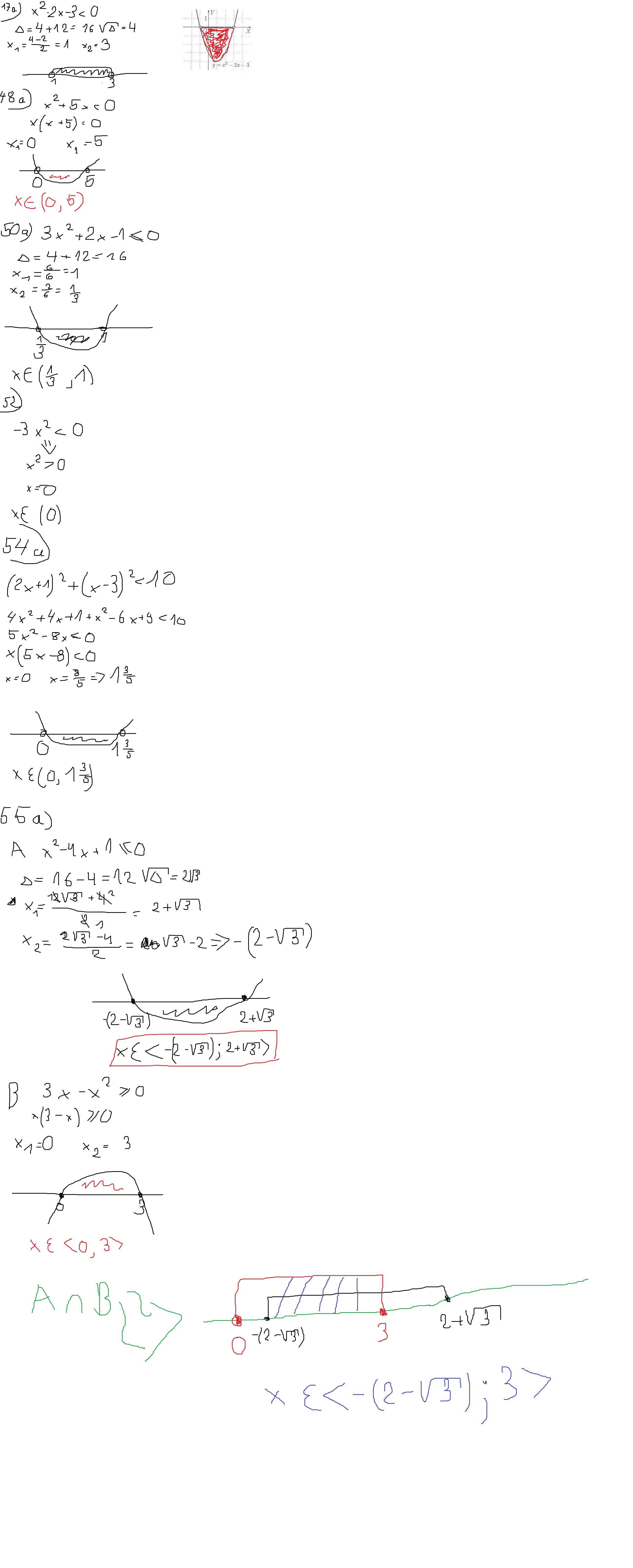
Nadesłane rozwiązania ( 1 )

Rozwiązanie 1 dodane przez Abaddon24 , 30.05.2013 09:47
Abaddon24 20111123224018 thumb
w załączniku masz zrobione po jednym zadaniu z każdego Punktu , tam gdzie nie masz zaczętych zadań , to one się robi tak samo jak poprzednie
Musisz się zalogować aby dodać komentarz

Znasz inny sposób na rozwiązanie tego zadania?

Dodaj swoje rozwiązanie

Dodaj swoje rozwiązanie:

Zabronione jest kopiowanie wszelkich treści!
Musisz się zalogować aby dodać rozwiazanie do zadania.
Strona korzysta z plików cookie w celu realizacji usług zgodnie z Polityką Prywatności. Możesz określić warunki przechowywania lub dostępu do cookie w twojej przeglądarce lub konfiguracji usługi.