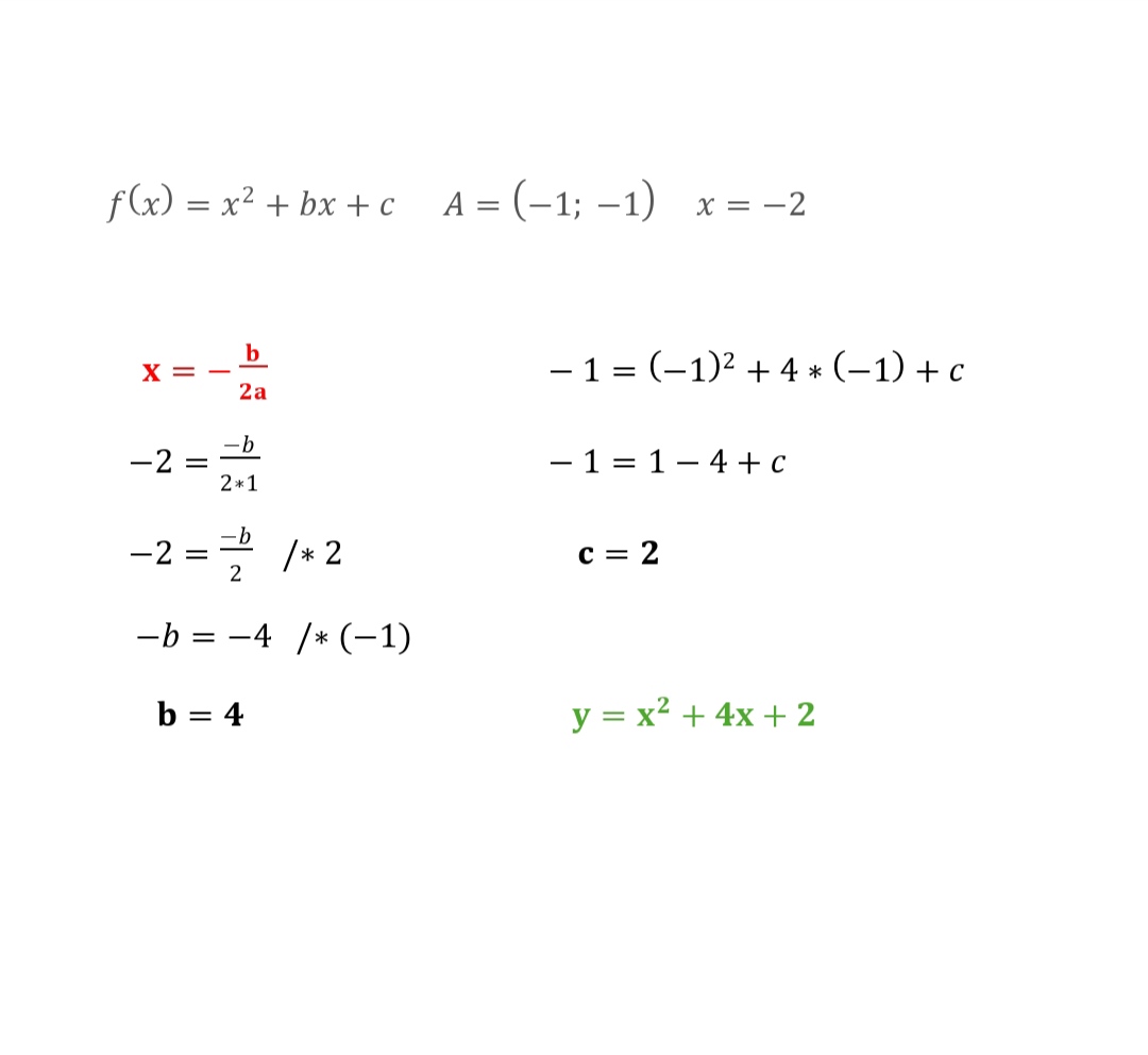
Dana jest funkcja f(x)= x2+ bx + c. Wyznacz współczynniki b i c, wiedząc że przechodzi przez punkt A(-1;-1), a osią symetrii jest prosta o równaniu x= -2

Zadanie 8169 (rozwiązane)

Ekspresowy Kurs Maturalny z matematyki

Zdajesz matematykę bo musisz? Przygotuj się do matury nawet w 7 dni! Zapisz się dzisiaj
Zadanie dodane przez areks , 28.05.2020 13:50
Default avatar
Dana jest funkcja f(x)= x2+ bx + c. Wyznacz współczynniki b i c, wiedząc że przechodzi przez punkt A(-1;-1), a osią symetrii jest prosta o równaniu x= -2

Nadesłane rozwiązania ( 1 )

Rozwiązanie 1 dodane przez Angelaa_242 , 10.08.2025 21:59
Default avatar
Załącznik
Musisz się zalogować aby dodać komentarz

Znasz inny sposób na rozwiązanie tego zadania?

Dodaj swoje rozwiązanie

Dodaj swoje rozwiązanie:

Zabronione jest kopiowanie wszelkich treści!
Musisz się zalogować aby dodać rozwiazanie do zadania.
Strona korzysta z plików cookie w celu realizacji usług zgodnie z Polityką Prywatności. Możesz określić warunki przechowywania lub dostępu do cookie w twojej przeglądarce lub konfiguracji usługi.