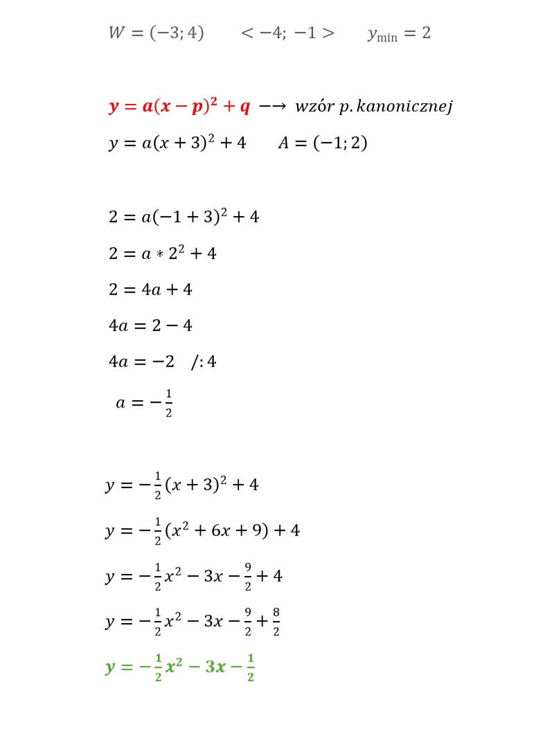
wyznacz wzor funkcji kwadratowej f w postaci ogólnej wiedząc że w przedziale funkcja f przyjmuje najmniejsza wartość równa 2 a jej wykresem jest parabola o wierzchołku W (-3,4)​

Zadanie 8280 (rozwiązane)

Ekspresowy Kurs Maturalny z matematyki

Zdajesz matematykę bo musisz? Przygotuj się do matury nawet w 7 dni! Zapisz się dzisiaj
Zadanie dodane przez pisko , 14.03.2024 15:46
Default avatar
wyznacz wzor funkcji kwadratowej f w postaci ogólnej wiedząc że w przedziale <-4,-1> funkcja f przyjmuje najmniejsza wartość równa 2 a jej wykresem jest parabola o wierzchołku W (-3,4)​

Nadesłane rozwiązania ( 1 )

Rozwiązanie 1 dodane przez Angelaa_242 , 09.08.2025 06:40
Default avatar
Załącznik
Musisz się zalogować aby dodać komentarz

Znasz inny sposób na rozwiązanie tego zadania?

Dodaj swoje rozwiązanie

Dodaj swoje rozwiązanie:

Zabronione jest kopiowanie wszelkich treści!
Musisz się zalogować aby dodać rozwiazanie do zadania.
Strona korzysta z plików cookie w celu realizacji usług zgodnie z Polityką Prywatności. Możesz określić warunki przechowywania lub dostępu do cookie w twojej przeglądarce lub konfiguracji usługi.