Narysuj wykres funkcji f(x)=2/x-2. Wyznacz dziedzinę, zbiór wartości i podaj msc. zerowe (o ile istnieją).

Zadanie 3430 (rozwiązane)

Ekspresowy Kurs Maturalny z matematyki

Zdajesz matematykę bo musisz? Przygotuj się do matury nawet w 7 dni! Zapisz się dzisiaj
Zadanie dodane przez Mtomalska , 15.05.2012 15:56
Mtomalska 20120515155240 thumb
Narysuj wykres funkcji f(x)=2/x-2. Wyznacz dziedzinę, zbiór wartości i podaj msc. zerowe (o ile istnieją).

Nadesłane rozwiązania ( 1 )

Rozwiązanie 1 dodane przez AnnaS , 15.05.2012 16:23
Annas 20120518205519 thumb
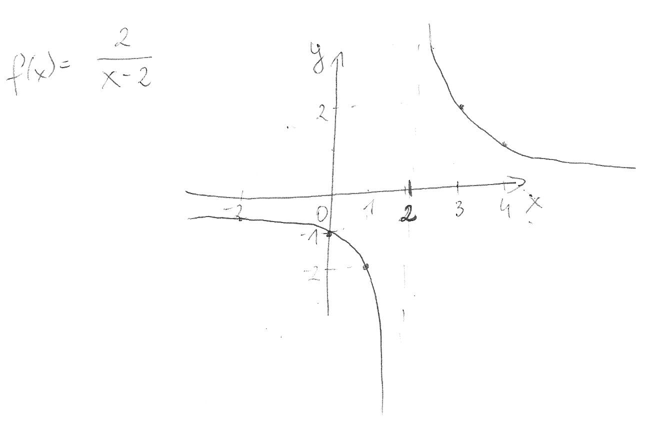
Jeśli chodzi o funkcję f(x)=\cfrac{2}{x-2}, to wykresem jest hiperbola (trzeba sobie podstawić parę punktów, a poza tym wiedzieć, że w x=2 będzie asymptota pionowa, a w y=0 asymptota pozioma - patrz załącznik).
Dziedzina: mianownik nie może być równy zero, więc
x\neq 2
(dziedziną jest zbiór liczb rzeczywistych bez 2, czyli R\{2}).
Zbiór wartości: y \neq 0
(zbiór R\{0}).
Miejsc zerowych brak.
Musisz się zalogować aby dodać komentarz

Znasz inny sposób na rozwiązanie tego zadania?

Dodaj swoje rozwiązanie

Dodaj swoje rozwiązanie:

Zabronione jest kopiowanie wszelkich treści!
Musisz się zalogować aby dodać rozwiazanie do zadania.
Strona korzysta z plików cookie w celu realizacji usług zgodnie z Polityką Prywatności. Możesz określić warunki przechowywania lub dostępu do cookie w twojej przeglądarce lub konfiguracji usługi.