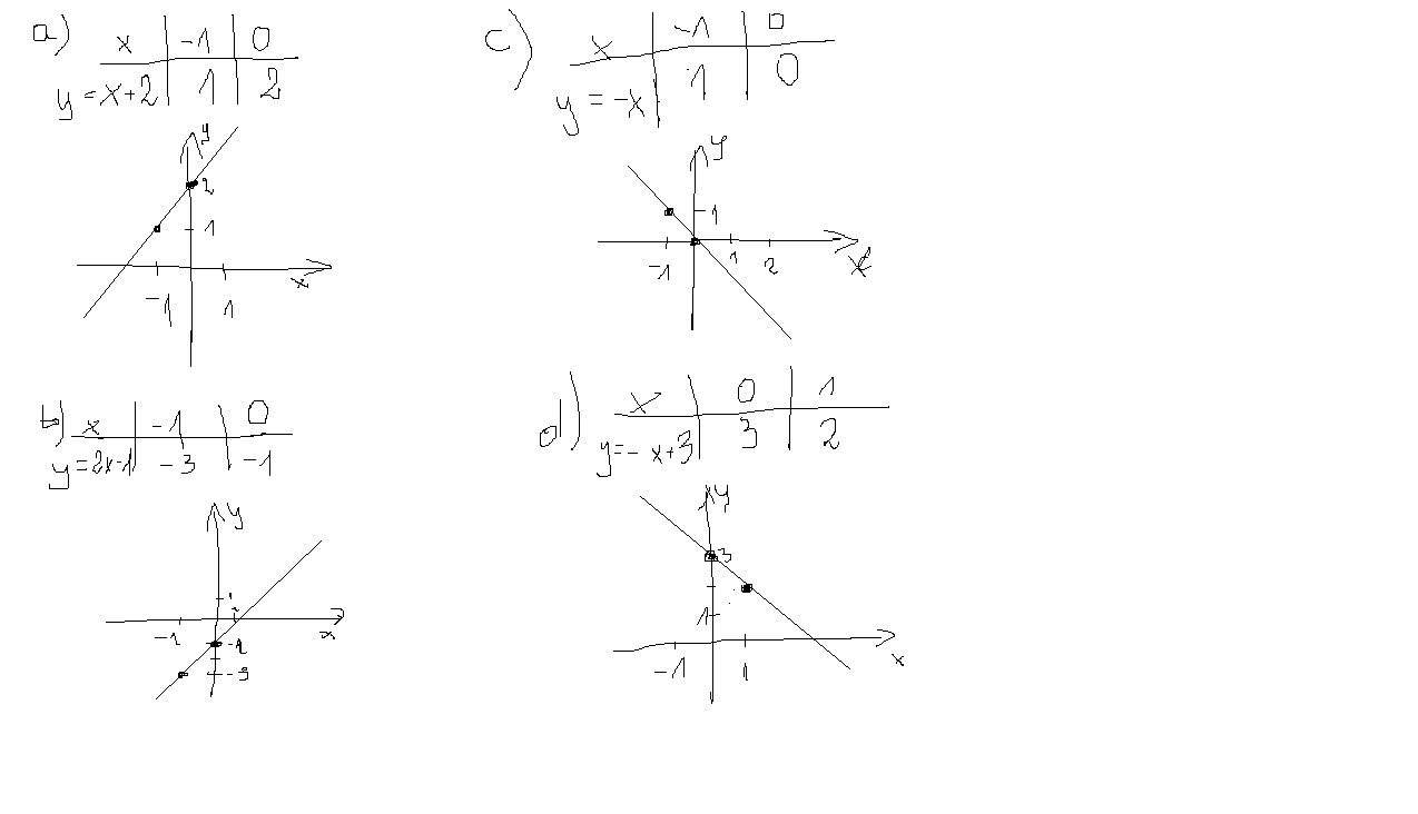
Naszkicuj wykres funkcji f, jeśli jej dziedziną jest zbiór liczb rzeczywistych. a)f(x)=x+2 b)f(x)=2x-1 c)f(x)=-x d)f(x)=-x+3

Zadanie 4597 (rozwiązane)

Ekspresowy Kurs Maturalny z matematyki

Zdajesz matematykę bo musisz? Przygotuj się do matury nawet w 7 dni! Zapisz się dzisiaj
Zadanie dodane przez Karolinaa , 22.11.2012 15:53
Default avatar
Naszkicuj wykres funkcji f, jeśli jej dziedziną jest zbiór liczb rzeczywistych.

a)f(x)=x+2
b)f(x)=2x-1
c)f(x)=-x
d)f(x)=-x+3

Nadesłane rozwiązania ( 1 )

Rozwiązanie 1 dodane przez monijatcz , 22.11.2012 20:59
Monijatcz 20121028144130 thumb
załącznik
Musisz się zalogować aby dodać komentarz

Znasz inny sposób na rozwiązanie tego zadania?

Dodaj swoje rozwiązanie

Dodaj swoje rozwiązanie:

Zabronione jest kopiowanie wszelkich treści!
Musisz się zalogować aby dodać rozwiazanie do zadania.
Strona korzysta z plików cookie w celu realizacji usług zgodnie z Polityką Prywatności. Możesz określić warunki przechowywania lub dostępu do cookie w twojej przeglądarce lub konfiguracji usługi.