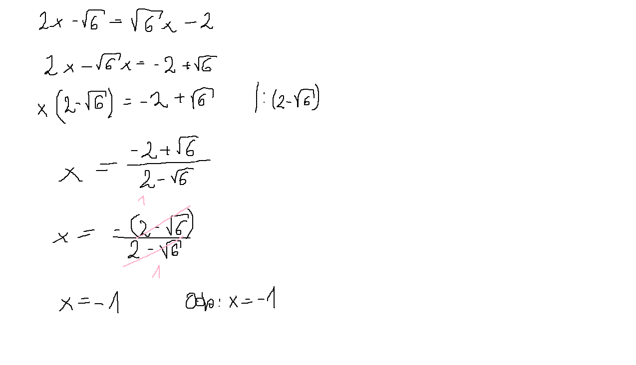
Rozwiąż równanie 2x- pierwiastek z 6 =pierwiastek z 6 x - 2

Zadanie 5040 (rozwiązane)

Ekspresowy Kurs Maturalny z matematyki

Zdajesz matematykę bo musisz? Przygotuj się do matury nawet w 7 dni! Zapisz się dzisiaj
Zadanie dodane przez Pati13333 , 16.12.2012 18:16
Default avatar
Rozwiąż równanie 2x- pierwiastek z 6 =pierwiastek z 6 x - 2

Nadesłane rozwiązania ( 1 )

Rozwiązanie 1 dodane przez monijatcz , 16.12.2012 20:55
Monijatcz 20121028144130 thumb
załącznik
Musisz się zalogować aby dodać komentarz

Znasz inny sposób na rozwiązanie tego zadania?

Dodaj swoje rozwiązanie

Dodaj swoje rozwiązanie:

Zabronione jest kopiowanie wszelkich treści!
Musisz się zalogować aby dodać rozwiazanie do zadania.
Strona korzysta z plików cookie w celu realizacji usług zgodnie z Polityką Prywatności. Możesz określić warunki przechowywania lub dostępu do cookie w twojej przeglądarce lub konfiguracji usługi.