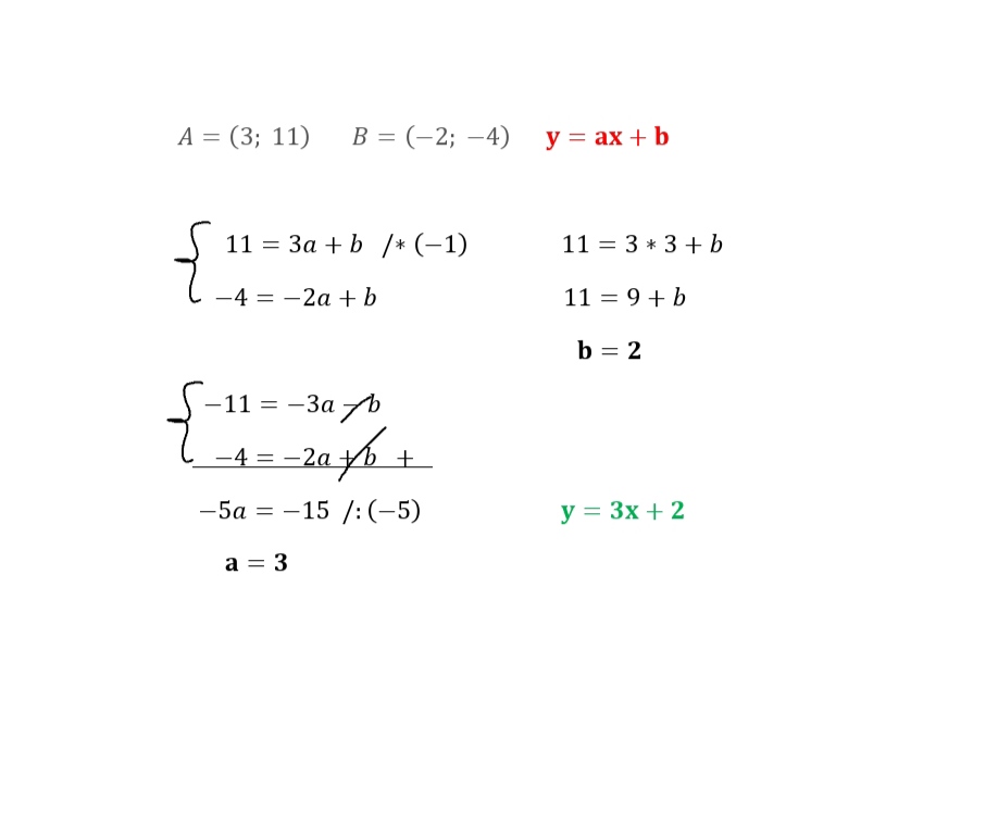
Napisz wzór funkcji liniowej, której wykres przechodzi przez punkty A = (3; 11) i B = (- 2 ; - 4).

Zadanie 8150 (rozwiązane)

Ekspresowy Kurs Maturalny z matematyki

Zdajesz matematykę bo musisz? Przygotuj się do matury nawet w 7 dni! Zapisz się dzisiaj
Zadanie dodane przez Agnes1981 , 24.04.2020 10:57
Default avatar
Napisz wzór funkcji liniowej, której wykres przechodzi przez punkty A = (3; 11) i
B = (- 2 ; - 4).

Nadesłane rozwiązania ( 1 )

Rozwiązanie 1 dodane przez Angelaa_242 , 10.08.2025 22:29
Default avatar
Załącznik
Musisz się zalogować aby dodać komentarz

Znasz inny sposób na rozwiązanie tego zadania?

Dodaj swoje rozwiązanie

Dodaj swoje rozwiązanie:

Zabronione jest kopiowanie wszelkich treści!
Musisz się zalogować aby dodać rozwiazanie do zadania.
Strona korzysta z plików cookie w celu realizacji usług zgodnie z Polityką Prywatności. Możesz określić warunki przechowywania lub dostępu do cookie w twojej przeglądarce lub konfiguracji usługi.