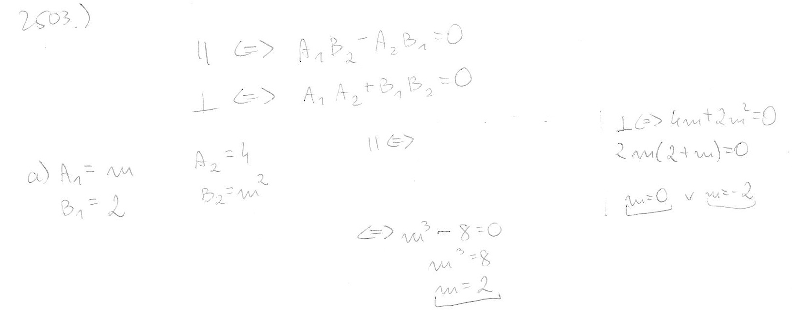
Dla jakich wartości parametru m podane proste są równoległe, a dla jakich prostopadłe? a) mx+2y-3=0 , 4x+$m^{2}$y-6=0 b) ($m^{2}$-m)x+y-1=0 , (m-1)x+my-4=0

Zadanie 2503 (rozwiązane)

Ekspresowy Kurs Maturalny z matematyki

Zdajesz matematykę bo musisz? Przygotuj się do matury nawet w 7 dni! Zapisz się dzisiaj
Zadanie dodane przez Nati18 , 12.03.2012 12:50
Default avatar
Dla jakich wartości parametru m podane proste są równoległe, a dla jakich prostopadłe?
a) mx+2y-3=0 , 4x+m^{2}y-6=0
b) (m^{2}-m)x+y-1=0 , (m-1)x+my-4=0

Nadesłane rozwiązania ( 1 )

Rozwiązanie 1 dodane przez AnnaS , 05.05.2012 20:36
Annas 20120518205519 thumb
Rozwiazanie w zalacznikach.
Musisz się zalogować aby dodać komentarz

Znasz inny sposób na rozwiązanie tego zadania?

Dodaj swoje rozwiązanie

Dodaj swoje rozwiązanie:

Zabronione jest kopiowanie wszelkich treści!
Musisz się zalogować aby dodać rozwiazanie do zadania.
Strona korzysta z plików cookie w celu realizacji usług zgodnie z Polityką Prywatności. Możesz określić warunki przechowywania lub dostępu do cookie w twojej przeglądarce lub konfiguracji usługi.