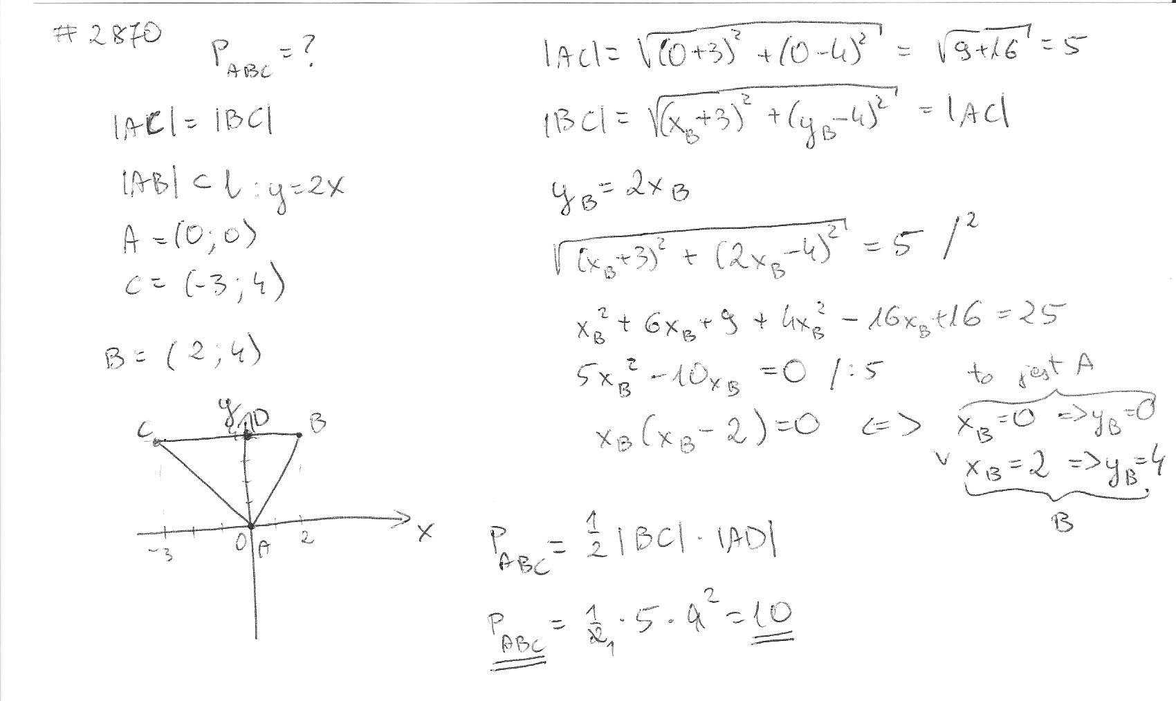
wyznacz ploe trójkąta równoramiennego ABC o ramionach AC i BC, w którym podstawa AB jest zawarta w prostej o równaniu y=2x a dwa wierzcholki maja współrzędne A=(0,0) C=(-3,4)

Zadanie 2870 (rozwiązane)

Ekspresowy Kurs Maturalny z matematyki

Zdajesz matematykę bo musisz? Przygotuj się do matury nawet w 7 dni! Zapisz się dzisiaj
Zadanie dodane przez angelika0099 , 01.04.2012 10:51
Default avatar
wyznacz ploe trójkąta równoramiennego ABC o ramionach AC i BC, w którym podstawa AB jest zawarta w prostej o równaniu y=2x a dwa wierzcholki maja współrzędne A=(0,0)
C=(-3,4)

Nadesłane rozwiązania ( 1 )

Rozwiązanie 1 dodane przez AnnaS , 07.05.2012 09:42
Annas 20120518205519 thumb
Rozwiązanie w załączniku.
Musisz się zalogować aby dodać komentarz

Znasz inny sposób na rozwiązanie tego zadania?

Dodaj swoje rozwiązanie

Dodaj swoje rozwiązanie:

Zabronione jest kopiowanie wszelkich treści!
Musisz się zalogować aby dodać rozwiazanie do zadania.
Strona korzysta z plików cookie w celu realizacji usług zgodnie z Polityką Prywatności. Możesz określić warunki przechowywania lub dostępu do cookie w twojej przeglądarce lub konfiguracji usługi.