Wyznacz równanie stycznej do okregu o rownaniu (x-4)^2 + y^2 = 10 i równoległej do prostej y=3x .

Zadanie 4279 (rozwiązane)

Ekspresowy Kurs Maturalny z matematyki

Zdajesz matematykę bo musisz? Przygotuj się do matury nawet w 7 dni! Zapisz się dzisiaj
Zadanie dodane przez angela12423 , 10.11.2012 12:45
Angela12423 20130317153251 thumb
Wyznacz równanie stycznej do okregu o rownaniu (x-4)^2 + y^2 = 10 i równoległej do prostej y=3x .

Nadesłane rozwiązania ( 1 )

Rozwiązanie 1 dodane przez monijatcz , 10.11.2012 20:10
Monijatcz 20121028144130 thumb
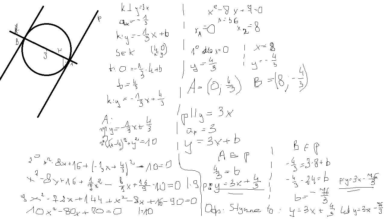
Rysunek i obliczenia - załącznik
Wyjaśnienie:
Okrąg ma środek w punkcie S=(4,0) a promień r= \sqrt{10}
Styczna p jest prostopadła do promienia okręgu i przechodzi przez punkt należący do okręgu
Skoro styczna jest równoległa do prostej y=3x to prosta zawierająca promień okręgu musi być do niej prostopadła.
Napiszemy równanie prostej k zawierającej promień , a zatem przechodzącej przez środek okręgu , i prostopadłej do y=3x.
Następnie obliczymy punkt wspólny prostej k i okręgu. ( są dwa punkty A i B)
Ostatecznie napiszemy:
-równanie stycznej równoległej do y=3x i przechodzącej przez punkt A.
- równanie stycznej równoległej do y=3x i przechodzącej przez punkt B.
    • Angela12423 20130317153251 thumb
      angela12423 10.11.2012 20:55

      Dziekuje za pomoc :)

Musisz się zalogować aby dodać komentarz

Znasz inny sposób na rozwiązanie tego zadania?

Dodaj swoje rozwiązanie

Dodaj swoje rozwiązanie:

Zabronione jest kopiowanie wszelkich treści!
Musisz się zalogować aby dodać rozwiazanie do zadania.
Strona korzysta z plików cookie w celu realizacji usług zgodnie z Polityką Prywatności. Możesz określić warunki przechowywania lub dostępu do cookie w twojej przeglądarce lub konfiguracji usługi.