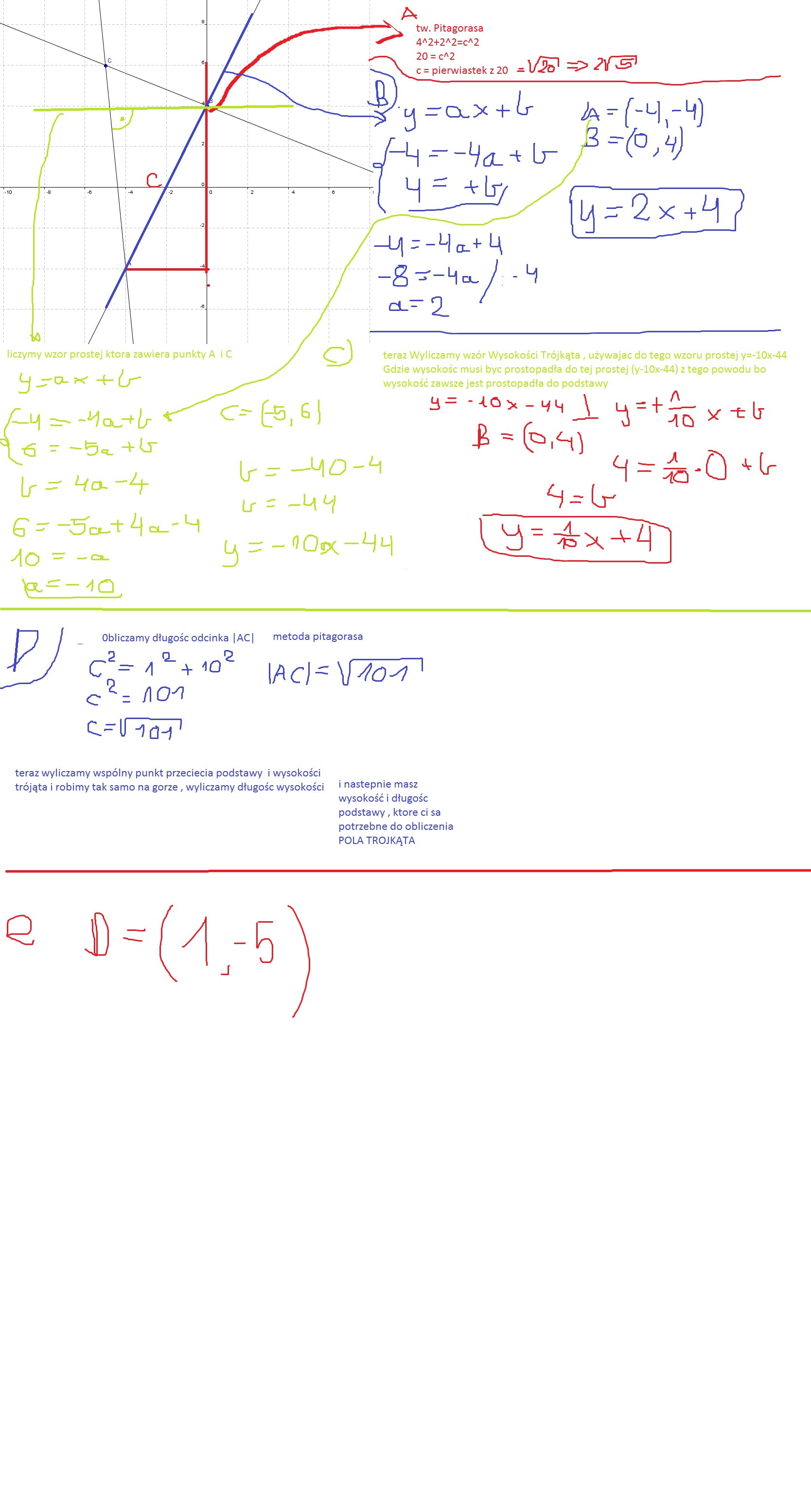
dany jest trójkąt abc współrzędne A=(-4;-4) B=(0;4) C=(-5;6) a) oblicz długość środkowej boku AB b) napisz równanie prostej zawierającej bok BC c) napisz równanie prostej zawierającej wysokość trójkąta poprowadzoną z wierzchołka C d) oblicz pole trójkąta e)znajdź współrzędne punktu D, tak aby czworokąt ABCD był równoległobokiem. Proszę o pomoc ! :(

Zadanie 6325 (rozwiązane)

Ekspresowy Kurs Maturalny z matematyki

Zdajesz matematykę bo musisz? Przygotuj się do matury nawet w 7 dni! Zapisz się dzisiaj
Zadanie dodane przez nininka189 , 12.04.2013 19:07
Default avatar
dany jest trójkąt abc współrzędne A=(-4;-4) B=(0;4) C=(-5;6)

a) oblicz długość środkowej boku AB
b) napisz równanie prostej zawierającej bok BC
c) napisz równanie prostej zawierającej wysokość trójkąta poprowadzoną z wierzchołka C
d) oblicz pole trójkąta
e)znajdź współrzędne punktu D, tak aby czworokąt ABCD był równoległobokiem.

Proszę o pomoc ! :(

Nadesłane rozwiązania ( 2 )

Rozwiązanie 1 dodane przez Abaddon24 , 13.04.2013 20:19
Abaddon24 20111123224018 thumb
rozwiązanie masz w załączniku
    • Default avatar
      nininka189 15.04.2013 18:23

      Dziękuję bardzo ;*;*;*

Musisz się zalogować aby dodać komentarz
Rozwiązanie 2 dodane przez Kahna , 13.04.2013 22:23
Default avatar
a,b,d rozwiązane:) c i e nie umiem:P
    • Default avatar
      nininka189 14.04.2013 16:51

      O dziękuję bardzo :*:*:*:D

Musisz się zalogować aby dodać komentarz

Znasz inny sposób na rozwiązanie tego zadania?

Dodaj swoje rozwiązanie

Dodaj swoje rozwiązanie:

Zabronione jest kopiowanie wszelkich treści!
Musisz się zalogować aby dodać rozwiazanie do zadania.
Strona korzysta z plików cookie w celu realizacji usług zgodnie z Polityką Prywatności. Możesz określić warunki przechowywania lub dostępu do cookie w twojej przeglądarce lub konfiguracji usługi.