Sześcian o krawędzi 2 przecięto płaszczyzną zawierającą jego przekątną i przechodzącą przez środek krawędzi, która nie ma punktów wspólnych z tą przekątną. Oblicz pole otrzymanego przekroju.

Zadanie 1884 (rozwiązane)

Ekspresowy Kurs Maturalny z matematyki

Zdajesz matematykę bo musisz? Przygotuj się do matury nawet w 7 dni! Zapisz się dzisiaj
Zadanie dodane przez joasiab18 , 10.02.2012 16:50
Joasiab18 20120105100312 thumb
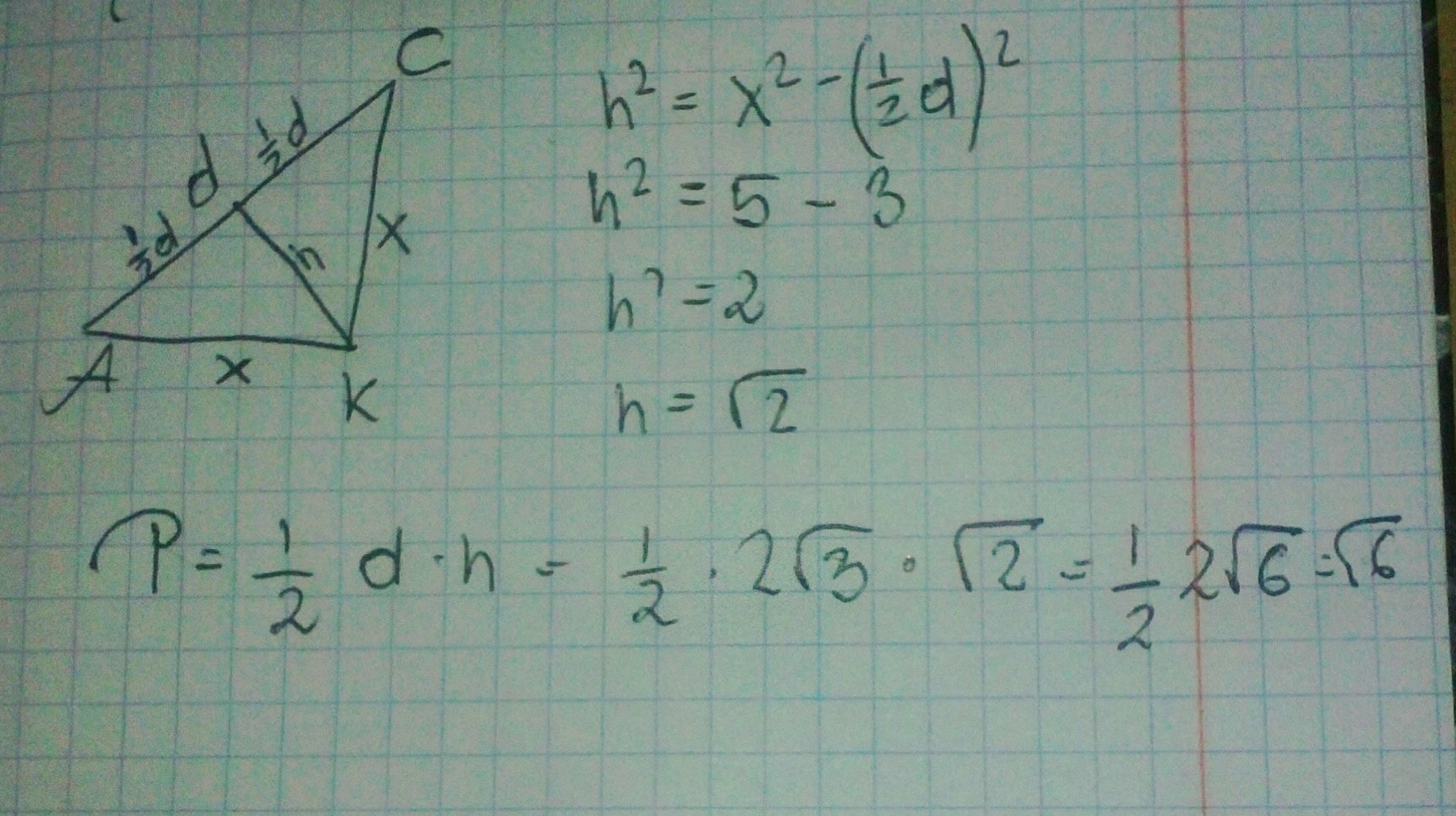
Sześcian o krawędzi 2 przecięto płaszczyzną zawierającą jego przekątną i przechodzącą przez środek krawędzi, która nie ma punktów wspólnych z tą przekątną. Oblicz pole otrzymanego przekroju.

Nadesłane rozwiązania ( 1 )

Rozwiązanie 1 dodane przez anuuila , 10.02.2012 17:58
Anuuila 20120111164032 thumb
rozwiązanie w załączniku ;) chyba się nie pomyliłam :D
Musisz się zalogować aby dodać komentarz

Znasz inny sposób na rozwiązanie tego zadania?

Dodaj swoje rozwiązanie

Dodaj swoje rozwiązanie:

Zabronione jest kopiowanie wszelkich treści!
Musisz się zalogować aby dodać rozwiazanie do zadania.
Strona korzysta z plików cookie w celu realizacji usług zgodnie z Polityką Prywatności. Możesz określić warunki przechowywania lub dostępu do cookie w twojej przeglądarce lub konfiguracji usługi.