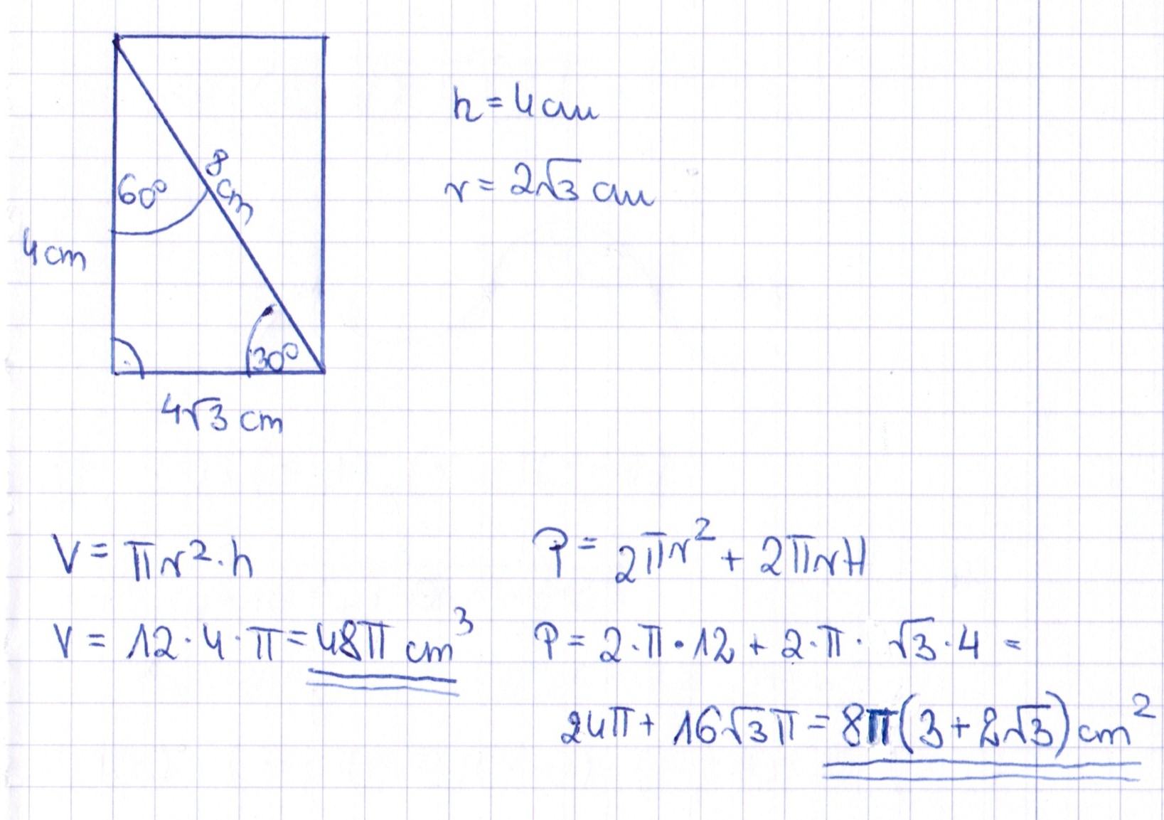
Oblicz pole i objętość walca , którego przekątna przekroju osiowego ma 8 cm i jest nachylona do podstawy pod kątem 30 stopni

Zadanie 1959 (rozwiązane)

Ekspresowy Kurs Maturalny z matematyki

Zdajesz matematykę bo musisz? Przygotuj się do matury nawet w 7 dni! Zapisz się dzisiaj
Zadanie dodane przez misia5 , 15.02.2012 07:57
Default avatar
Oblicz pole i objętość walca , którego przekątna przekroju osiowego ma 8 cm i jest nachylona do podstawy pod kątem 30 stopni

Nadesłane rozwiązania ( 1 )

Rozwiązanie 1 dodane przez Patrycja12321 , 17.02.2012 16:19
Patrycja12321 20120217150119 thumb
Rozwiązanie w załączniku.
Musisz się zalogować aby dodać komentarz

Znasz inny sposób na rozwiązanie tego zadania?

Dodaj swoje rozwiązanie

Dodaj swoje rozwiązanie:

Zabronione jest kopiowanie wszelkich treści!
Musisz się zalogować aby dodać rozwiazanie do zadania.
Strona korzysta z plików cookie w celu realizacji usług zgodnie z Polityką Prywatności. Możesz określić warunki przechowywania lub dostępu do cookie w twojej przeglądarce lub konfiguracji usługi.