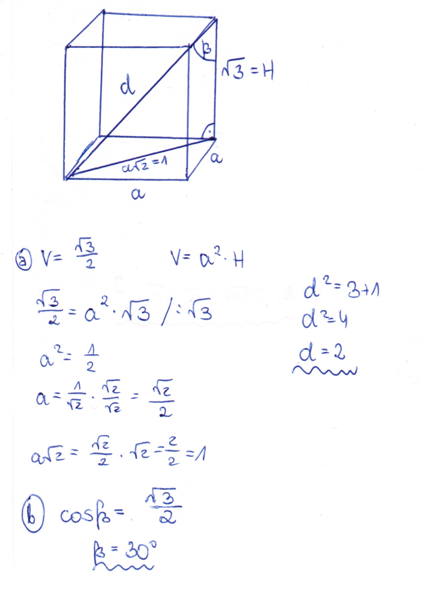
3.Wysokość graniastosłupa prawidłowego czworokątnego ma długość √3 a jego objętość wynosi (√3)/2 Oblicz: a) długość przekątnej graniastosłupa; b) miarę kąta, który tworzy przekątna graniastosłupa z krawędzią boczną;

Zadanie 2035 (rozwiązane)

Ekspresowy Kurs Maturalny z matematyki

Zdajesz matematykę bo musisz? Przygotuj się do matury nawet w 7 dni! Zapisz się dzisiaj
Zadanie dodane przez magda456 , 18.02.2012 15:07
Default avatar
3.Wysokość graniastosłupa prawidłowego czworokątnego ma długość √3 a jego objętość wynosi (√3)/2 Oblicz:
a) długość przekątnej graniastosłupa;
b) miarę kąta, który tworzy przekątna graniastosłupa z krawędzią boczną;

Nadesłane rozwiązania ( 1 )

Rozwiązanie 1 dodane przez Patrycja12321 , 18.02.2012 15:46
Patrycja12321 20120217150119 thumb
W załączniku
Musisz się zalogować aby dodać komentarz

Znasz inny sposób na rozwiązanie tego zadania?

Dodaj swoje rozwiązanie

Dodaj swoje rozwiązanie:

Zabronione jest kopiowanie wszelkich treści!
Musisz się zalogować aby dodać rozwiazanie do zadania.
Strona korzysta z plików cookie w celu realizacji usług zgodnie z Polityką Prywatności. Możesz określić warunki przechowywania lub dostępu do cookie w twojej przeglądarce lub konfiguracji usługi.