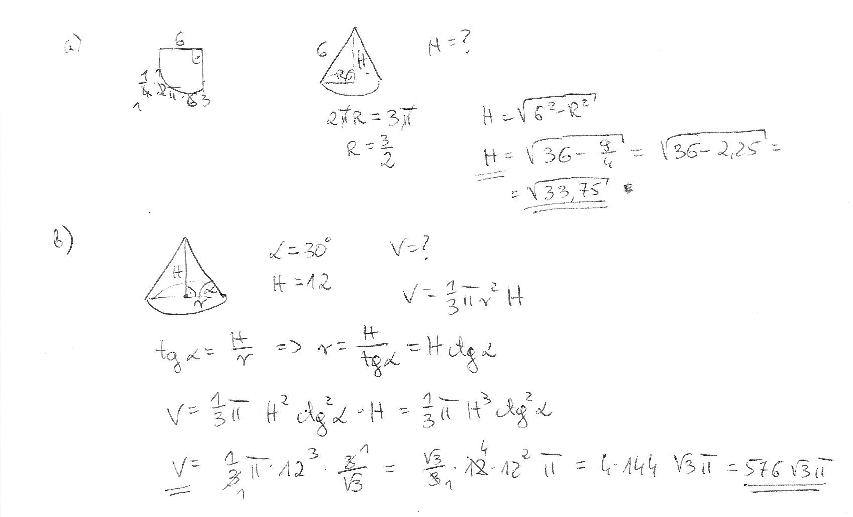
a) Powierzchnia boczna stożka jest ćwiartką koła o promieniu 6. Oblicz wysokość tego stożka. b) Tworząca stożka jest nachylona do płaszczyzny podstawy pod kątem 30stopni a jego wysokość jest równa 12.Oblicz objętość tego stożka.

Zadanie 3021 (rozwiązane)

Ekspresowy Kurs Maturalny z matematyki

Zdajesz matematykę bo musisz? Przygotuj się do matury nawet w 7 dni! Zapisz się dzisiaj
Zadanie dodane przez Madzia93 , 10.04.2012 13:35
Madzia93 20120408112603 thumb
a) Powierzchnia boczna stożka jest ćwiartką koła o promieniu 6. Oblicz wysokość tego stożka.
b) Tworząca stożka jest nachylona do płaszczyzny podstawy pod kątem 30stopni a jego wysokość jest równa 12.Oblicz objętość tego stożka.

Nadesłane rozwiązania ( 1 )

Rozwiązanie 1 dodane przez AnnaS , 07.05.2012 10:08
Annas 20120518205519 thumb
Rozwiązanie w załączniku.
Musisz się zalogować aby dodać komentarz

Znasz inny sposób na rozwiązanie tego zadania?

Dodaj swoje rozwiązanie

Dodaj swoje rozwiązanie:

Zabronione jest kopiowanie wszelkich treści!
Musisz się zalogować aby dodać rozwiazanie do zadania.
Strona korzysta z plików cookie w celu realizacji usług zgodnie z Polityką Prywatności. Możesz określić warunki przechowywania lub dostępu do cookie w twojej przeglądarce lub konfiguracji usługi.