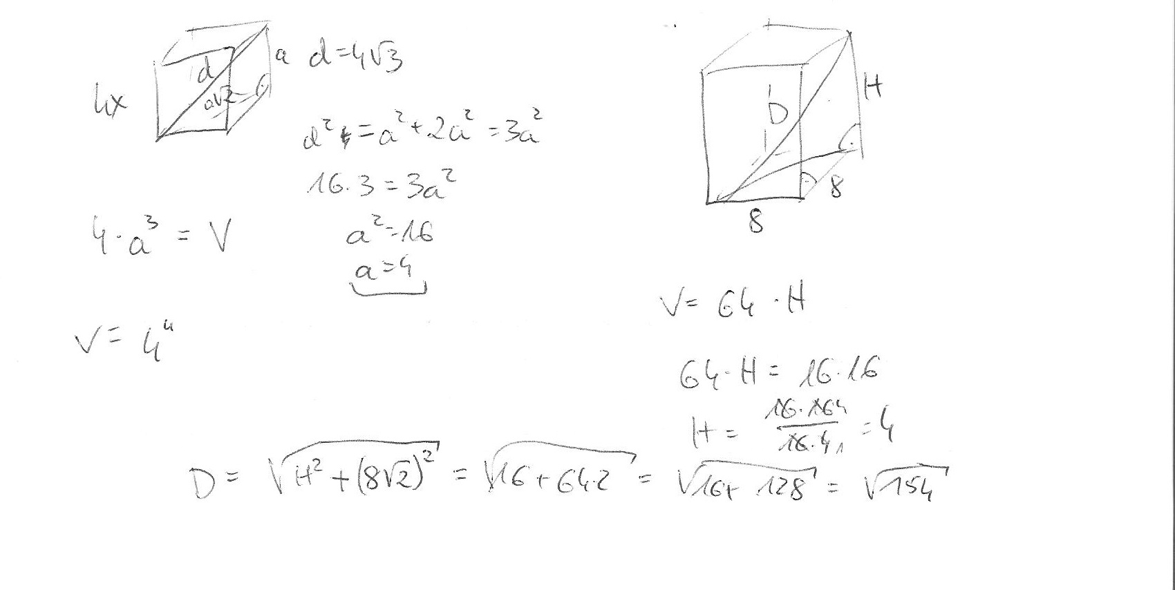
Z czterech ołowianych sześcianów o przekątnej długości 4$\sqrt{3}$ wykonano graniastosłup prawidłowy czworokątny o krawędzi podstawy długości 8.Oblicz długość przekątnej graniastosłupa.

Zadanie 3378 (rozwiązane)

Ekspresowy Kurs Maturalny z matematyki

Zdajesz matematykę bo musisz? Przygotuj się do matury nawet w 7 dni! Zapisz się dzisiaj
Zadanie dodane przez alisha , 08.05.2012 15:44
Default avatar
Z czterech ołowianych sześcianów o przekątnej długości 4\sqrt{3} wykonano graniastosłup prawidłowy czworokątny o krawędzi podstawy długości 8.Oblicz długość przekątnej graniastosłupa.

Nadesłane rozwiązania ( 1 )

Rozwiązanie 1 dodane przez AnnaS , 08.05.2012 15:55
Annas 20120518205519 thumb
Rozwiązanie w załączniku.
Musisz się zalogować aby dodać komentarz

Znasz inny sposób na rozwiązanie tego zadania?

Dodaj swoje rozwiązanie

Dodaj swoje rozwiązanie:

Zabronione jest kopiowanie wszelkich treści!
Musisz się zalogować aby dodać rozwiazanie do zadania.
Strona korzysta z plików cookie w celu realizacji usług zgodnie z Polityką Prywatności. Możesz określić warunki przechowywania lub dostępu do cookie w twojej przeglądarce lub konfiguracji usługi.