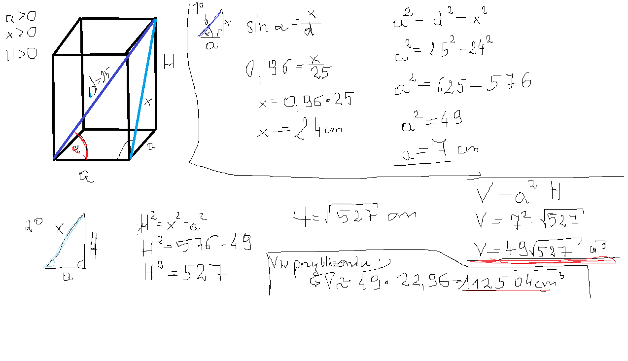
Przekątna graniastosłupa prawidłowego czworokątnego ma długość 25 cm i tworzy z krawędzią podstawy kąt $\alpha$ taki, że sin $\alpha$= 0,96. Oblicz objętość tego graniastosłupa.

Zadanie 4176 (rozwiązane)

Ekspresowy Kurs Maturalny z matematyki

Zdajesz matematykę bo musisz? Przygotuj się do matury nawet w 7 dni! Zapisz się dzisiaj
Zadanie dodane przez xEwelax , 02.11.2012 20:08
Default avatar
Przekątna graniastosłupa prawidłowego czworokątnego ma długość 25 cm i tworzy z krawędzią podstawy kąt \alpha taki, że sin \alpha= 0,96. Oblicz objętość tego graniastosłupa.

Nadesłane rozwiązania ( 1 )

Rozwiązanie 1 dodane przez monijatcz , 03.11.2012 22:50
Monijatcz 20121028144130 thumb
rozwiązanie z rysunkiem w załączniku
Musisz się zalogować aby dodać komentarz

Znasz inny sposób na rozwiązanie tego zadania?

Dodaj swoje rozwiązanie

Dodaj swoje rozwiązanie:

Zabronione jest kopiowanie wszelkich treści!
Musisz się zalogować aby dodać rozwiazanie do zadania.
Strona korzysta z plików cookie w celu realizacji usług zgodnie z Polityką Prywatności. Możesz określić warunki przechowywania lub dostępu do cookie w twojej przeglądarce lub konfiguracji usługi.