Tworząca stożka jest o 4 dłuższa od jego wysokości i tworzy z płaszczyzną podstawy kąt, którego cosinus alfa równa się pierwiastek z 5 przez 3. Oblicz Pc. Pilne! Z góry dzięki za pomoc :)

Zadanie 4388 (rozwiązane)

Ekspresowy Kurs Maturalny z matematyki

Zdajesz matematykę bo musisz? Przygotuj się do matury nawet w 7 dni! Zapisz się dzisiaj
Zadanie dodane przez Anonim123 , 14.11.2012 11:47
Anonim123 20121114113957 thumb
Tworząca stożka jest o 4 dłuższa od jego wysokości i tworzy z płaszczyzną podstawy kąt, którego cosinus alfa równa się pierwiastek z 5 przez 3. Oblicz Pc.
Pilne!
Z góry dzięki za pomoc :)

Nadesłane rozwiązania ( 1 )

Rozwiązanie 1 dodane przez monijatcz , 14.11.2012 17:40
Monijatcz 20121028144130 thumb
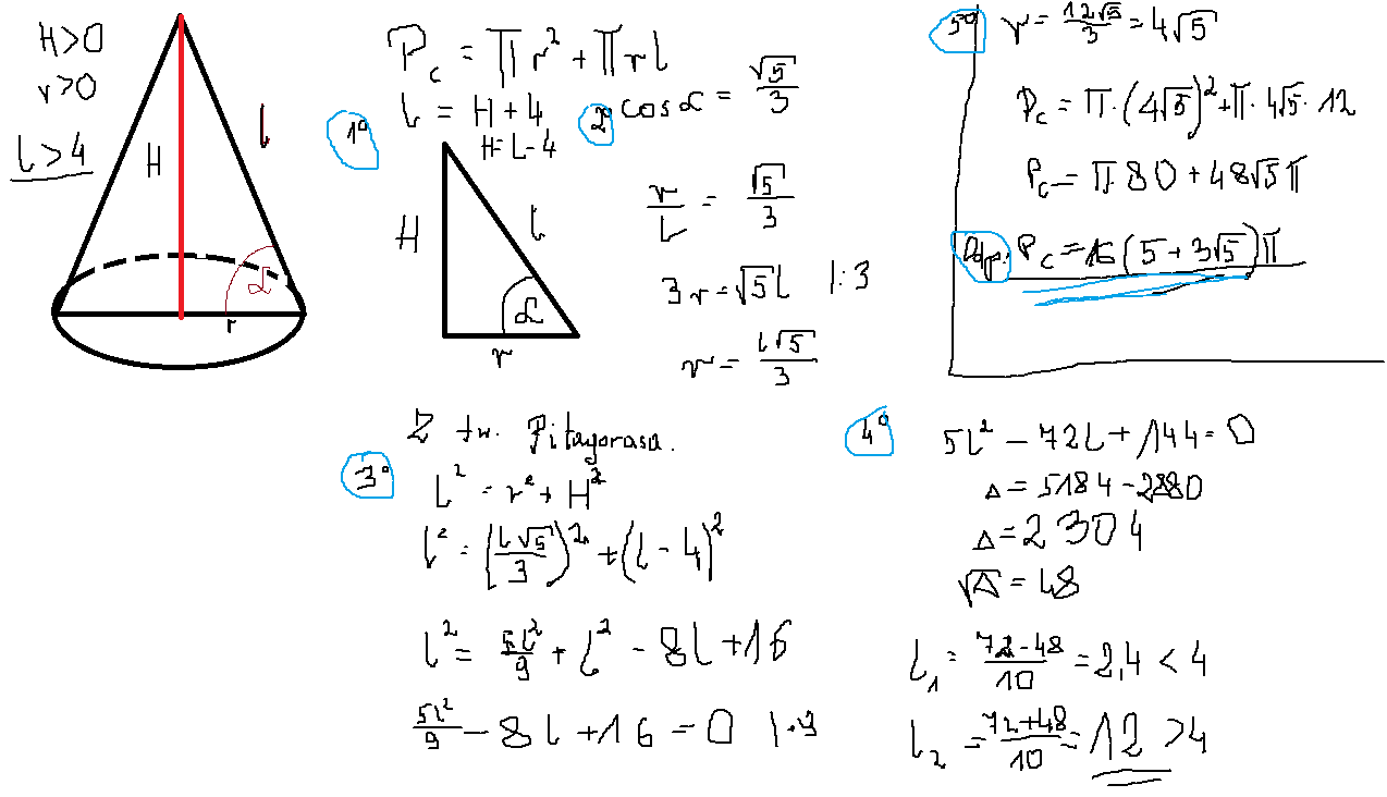
załącznik- rysunek z rachunkami.
Wyjasnienie. Skoro tworząca jest większa o 4 od H to tworząca stożka musi być większa od 4.
Uzależniamy wysokość stożka od tworzącej.
Korzystając z cosinusa kąta wyznaczamy promień podstawy - uzależniając od tworzącej.
Korzystamy z Twierdzenia Pitagorasa i obliczamy długość tworzącej .
Wyszły dwa rozwiązania lecz wybieramy te, które jest większe od 4.
Podstawiamy wynik do wyznaczonego wcześniej promienia .
Obliczamy pole powierzchni , bo mamy długośc tworzącej i promień.
    • Anonim123 20121114113957 thumb
      Anonim123 14.11.2012 19:15

      Pozazdrościć umysłu matematycznego :)
      Naprawdę baaardzo dziękuję za wielką pomoc :)

Musisz się zalogować aby dodać komentarz

Znasz inny sposób na rozwiązanie tego zadania?

Dodaj swoje rozwiązanie

Dodaj swoje rozwiązanie:

Zabronione jest kopiowanie wszelkich treści!
Musisz się zalogować aby dodać rozwiazanie do zadania.
Strona korzysta z plików cookie w celu realizacji usług zgodnie z Polityką Prywatności. Możesz określić warunki przechowywania lub dostępu do cookie w twojej przeglądarce lub konfiguracji usługi.