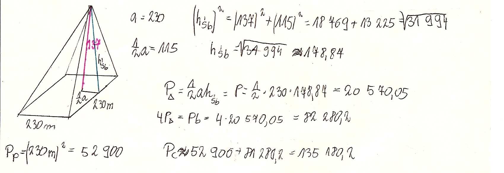
Piramidy egipskie mają kształty ostrosłupów czworokątnych prawidłowych. Jedną z nich jest piramida Cheopsa Podstawą jej jest kwadrat, którego długość boku jest równa 230 m. Wysokość piramidy jest równa 137 m. Oblicz pole piramidy.

Zadanie 6349 (rozwiązane)

Ekspresowy Kurs Maturalny z matematyki

Zdajesz matematykę bo musisz? Przygotuj się do matury nawet w 7 dni! Zapisz się dzisiaj
Zadanie dodane przez anetaa122 , 16.04.2013 05:53
Anetaa122 20121215160752 thumb
Piramidy egipskie mają kształty ostrosłupów czworokątnych prawidłowych. Jedną z nich jest piramida Cheopsa
Podstawą jej jest kwadrat, którego długość boku jest równa 230 m. Wysokość piramidy jest równa 137 m.
Oblicz pole piramidy.

Nadesłane rozwiązania ( 1 )

Rozwiązanie 1 dodane przez malwin19937 , 16.04.2013 15:43
Malwin19937 20130322190518 thumb
mam nadzieję ,ze może być to wykonane w taki sposób
Musisz się zalogować aby dodać komentarz

Znasz inny sposób na rozwiązanie tego zadania?

Dodaj swoje rozwiązanie

Dodaj swoje rozwiązanie:

Zabronione jest kopiowanie wszelkich treści!
Musisz się zalogować aby dodać rozwiazanie do zadania.
Strona korzysta z plików cookie w celu realizacji usług zgodnie z Polityką Prywatności. Możesz określić warunki przechowywania lub dostępu do cookie w twojej przeglądarce lub konfiguracji usługi.