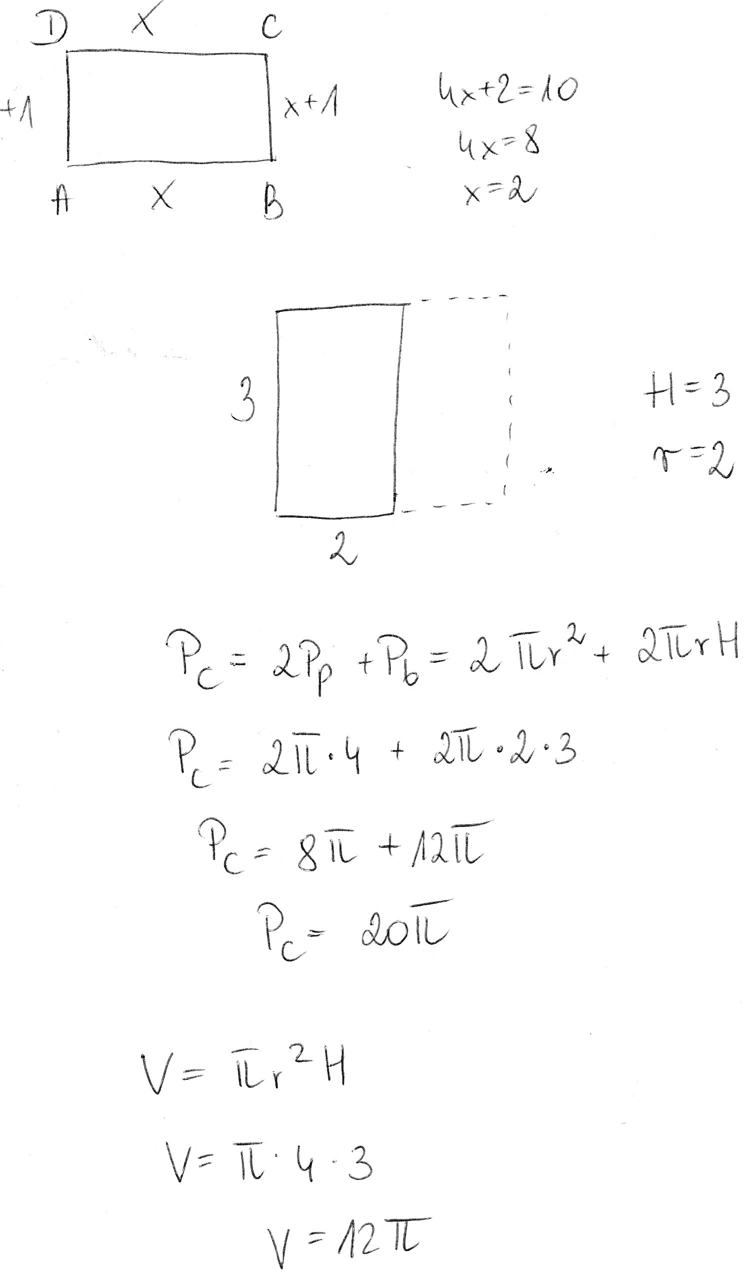
Obwód prostokąta ABCD jest równy 10 cm. a bok BC jest dłuższy o 1 cm. od boku AB. Prostokąt obraca się wokół dłuższego boku. Oblicz pole pow. całkowitej i objętość walca

Zadanie 7024 (rozwiązane)

Ekspresowy Kurs Maturalny z matematyki

Zdajesz matematykę bo musisz? Przygotuj się do matury nawet w 7 dni! Zapisz się dzisiaj
Zadanie dodane przez 301268 , 28.11.2013 09:29
Default avatar
Obwód prostokąta ABCD jest równy 10 cm. a bok BC jest dłuższy o 1 cm. od boku AB. Prostokąt obraca się wokół dłuższego boku. Oblicz pole pow. całkowitej i objętość walca

Nadesłane rozwiązania ( 1 )

Rozwiązanie 1 dodane przez maturzystka13 , 28.11.2013 18:25
Maturzystka13 20131128165809 thumb
wszystko ponizej;)
Musisz się zalogować aby dodać komentarz

Znasz inny sposób na rozwiązanie tego zadania?

Dodaj swoje rozwiązanie

Dodaj swoje rozwiązanie:

Zabronione jest kopiowanie wszelkich treści!
Musisz się zalogować aby dodać rozwiazanie do zadania.
Strona korzysta z plików cookie w celu realizacji usług zgodnie z Polityką Prywatności. Możesz określić warunki przechowywania lub dostępu do cookie w twojej przeglądarce lub konfiguracji usługi.