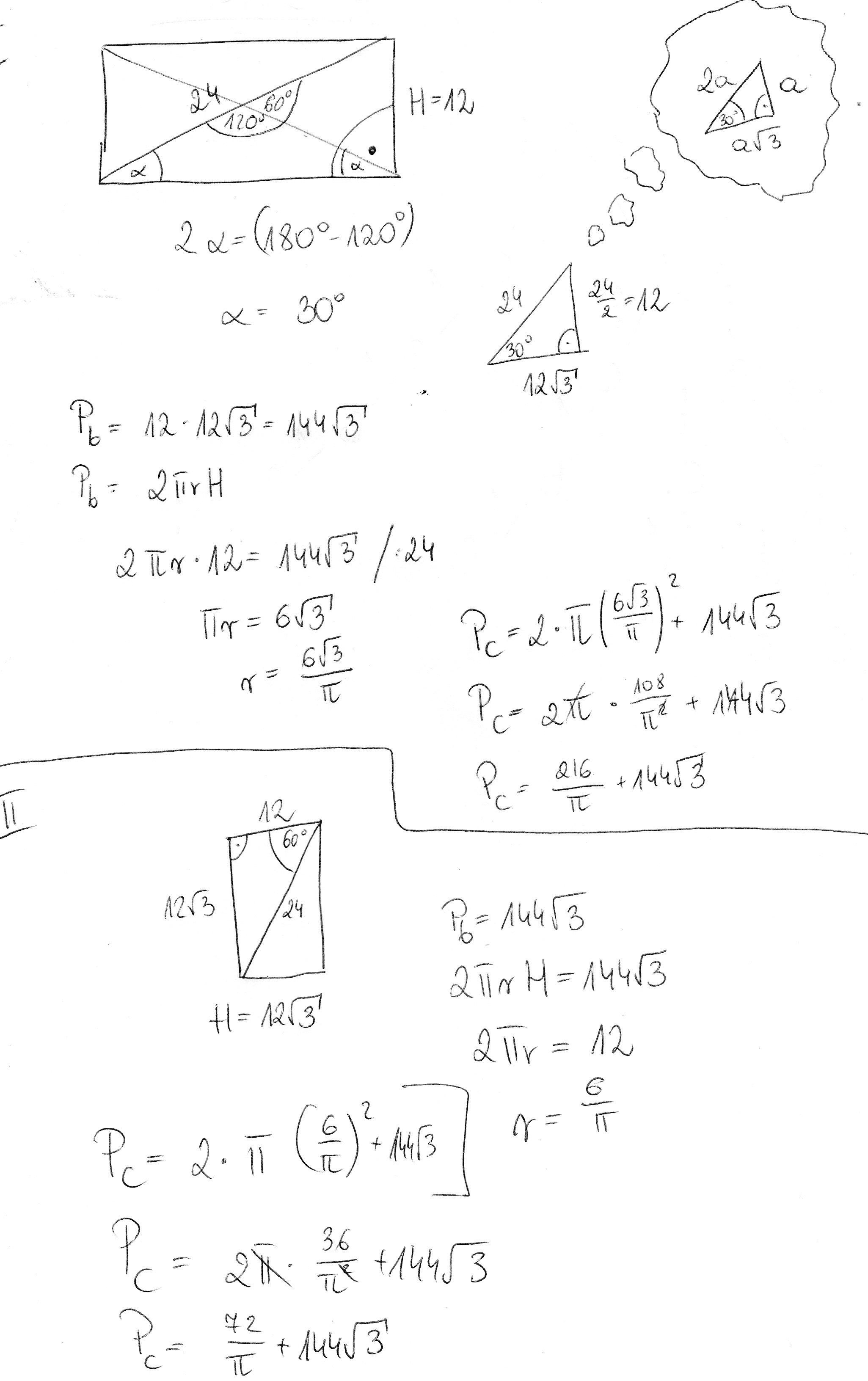
Powierzchnia boczna walca po rozwinięciu na płaszczyźnie jest prostokątem którego przekątna ma 24 cm. a kąt pomiędzy przekątnymi ma 120 stopni. Oblicz pole pow. walca.Rozważ dwa przypadki

Zadanie 7025 (rozwiązane)

Ekspresowy Kurs Maturalny z matematyki

Zdajesz matematykę bo musisz? Przygotuj się do matury nawet w 7 dni! Zapisz się dzisiaj
Zadanie dodane przez 301268 , 28.11.2013 09:34
Default avatar
Powierzchnia boczna walca po rozwinięciu na płaszczyźnie jest prostokątem którego przekątna ma 24 cm. a kąt pomiędzy przekątnymi ma 120 stopni. Oblicz pole pow. walca.Rozważ dwa przypadki

Nadesłane rozwiązania ( 1 )

Rozwiązanie 1 dodane przez maturzystka13 , 28.11.2013 18:10
Maturzystka13 20131128165809 thumb
dziwne jakies to r mi wyszlo, ale metoda na pewno dobra, ewentualnie blad rachunkowy:)
Musisz się zalogować aby dodać komentarz

Znasz inny sposób na rozwiązanie tego zadania?

Dodaj swoje rozwiązanie

Dodaj swoje rozwiązanie:

Zabronione jest kopiowanie wszelkich treści!
Musisz się zalogować aby dodać rozwiazanie do zadania.
Strona korzysta z plików cookie w celu realizacji usług zgodnie z Polityką Prywatności. Możesz określić warunki przechowywania lub dostępu do cookie w twojej przeglądarce lub konfiguracji usługi.