Oblicz objętość i pole powierzchi całkowitej ostrosłupa prawidłowego trójkątnego i czworokątnego, jeśli wszystkie krawędzie mają długość 12 cm.

Zadanie 7630 (rozwiązane)

Ekspresowy Kurs Maturalny z matematyki

Zdajesz matematykę bo musisz? Przygotuj się do matury nawet w 7 dni! Zapisz się dzisiaj
Zadanie dodane przez DemiLovato27 , 07.11.2014 16:32
Demilovato27 20131120181317 thumb
Oblicz objętość i pole powierzchi całkowitej ostrosłupa prawidłowego trójkątnego i czworokątnego, jeśli wszystkie krawędzie mają długość 12 cm.

Nadesłane rozwiązania ( 3 )

Rozwiązanie 1 dodane przez O1a , 21.11.2014 22:33
O1a 20141114223455 thumb
ostrosłup prawidłowy trójkątny
Musisz się zalogować aby dodać komentarz
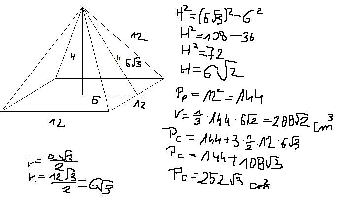
Rozwiązanie 2 dodane przez O1a , 21.11.2014 22:48
O1a 20141114223455 thumb
ostrosłup prawidłowy czworokątny
Musisz się zalogować aby dodać komentarz
Rozwiązanie 3 dodane przez ALFA , 22.11.2014 13:03
Default avatar
Mamy tutaj do czynieniem z czworościanem
Do obliczenia Pc i V korzystamy już gotowych wzorów
Pc=a^2V3 (Pc=a^{2}*\sqrt{5} )
V=a^3*V2/12 (V=a^{3}*\frac{\sqrt{2}}{12} )

Pc=12^2*V3=144*V3
Pc=144V3cm^2

V=12^3*V2 /12=1728*V2/12
V=144V3 cm^3
Musisz się zalogować aby dodać komentarz

Znasz inny sposób na rozwiązanie tego zadania?

Dodaj swoje rozwiązanie

Dodaj swoje rozwiązanie:

Zabronione jest kopiowanie wszelkich treści!
Musisz się zalogować aby dodać rozwiazanie do zadania.
Strona korzysta z plików cookie w celu realizacji usług zgodnie z Polityką Prywatności. Możesz określić warunki przechowywania lub dostępu do cookie w twojej przeglądarce lub konfiguracji usługi.