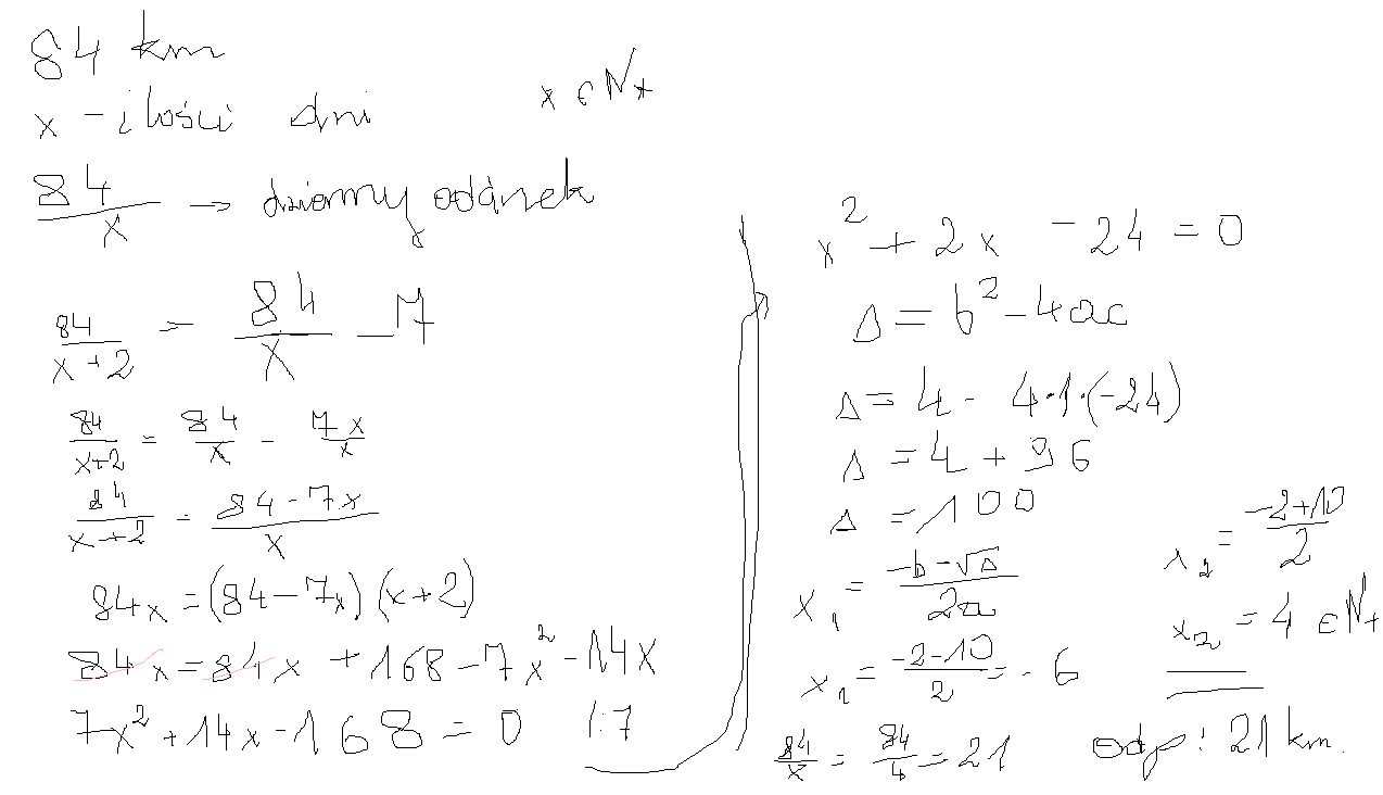
10.W czasie wycieczki rowerowej,uczniowie mieli do przebycia trasę trasę dł.84 km. Podzielili tę trasę na odcinki równej długości codziennie przejeżdzali wyznaczony odcinek. Gdyby na przybycie całej trasy zuzyli o dwa dni więcej to mogliby dziennie przebywać o 7 km mniej. Ile km przebywali uczniowie dziennie?

Zadanie 4287 (rozwiązane)

Ekspresowy Kurs Maturalny z matematyki

Zdajesz matematykę bo musisz? Przygotuj się do matury nawet w 7 dni! Zapisz się dzisiaj
Zadanie dodane przez mariolka57 , 10.11.2012 16:05
Mariolka57 20111108070205 thumb
10.W czasie wycieczki rowerowej,uczniowie mieli do przebycia trasę trasę dł.84 km.
Podzielili tę trasę na odcinki równej długości codziennie przejeżdzali wyznaczony odcinek.
Gdyby na przybycie całej trasy zuzyli o dwa dni więcej to mogliby dziennie przebywać o 7 km mniej.
Ile km przebywali uczniowie dziennie?

Nadesłane rozwiązania ( 1 )

Rozwiązanie 1 dodane przez monijatcz , 10.11.2012 18:01
Monijatcz 20121028144130 thumb
Rozwiązanie- załącznik
Odp. Dziennie przebywali 21 km.
Musisz się zalogować aby dodać komentarz

Znasz inny sposób na rozwiązanie tego zadania?

Dodaj swoje rozwiązanie

Dodaj swoje rozwiązanie:

Zabronione jest kopiowanie wszelkich treści!
Musisz się zalogować aby dodać rozwiazanie do zadania.
Strona korzysta z plików cookie w celu realizacji usług zgodnie z Polityką Prywatności. Możesz określić warunki przechowywania lub dostępu do cookie w twojej przeglądarce lub konfiguracji usługi.