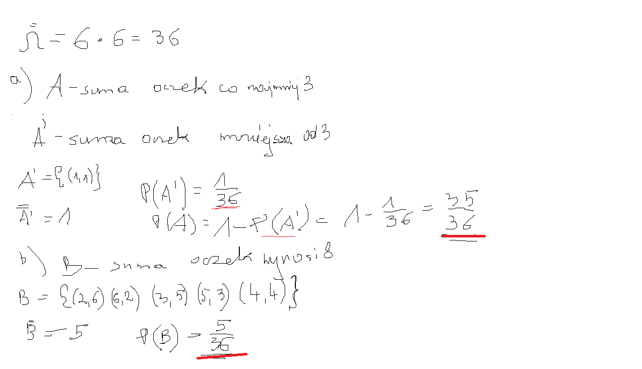
Rzucamy dwa razy sześcienną kostką do gry. Jakie jest prawdopodobieństwo, że: a) suma oczek wynosi co najmniej 3 b) suma oczek wynosi 8

Zadanie 4162 (rozwiązane)

Ekspresowy Kurs Maturalny z matematyki

Zdajesz matematykę bo musisz? Przygotuj się do matury nawet w 7 dni! Zapisz się dzisiaj
Zadanie dodane przez natalia22 , 02.11.2012 13:29
Default avatar
Rzucamy dwa razy sześcienną kostką do gry. Jakie jest prawdopodobieństwo, że:
a) suma oczek wynosi co najmniej 3
b) suma oczek wynosi 8

Nadesłane rozwiązania ( 1 )

Rozwiązanie 1 dodane przez monijatcz , 02.11.2012 16:18
Monijatcz 20121028144130 thumb
załącznik
W pierwszym przykładzie nalezy skorzystac ze zdarzenia przeciwnego .
co najmniej 3 to inaczej liczby większe badź równe 3 a zatem by było za dużo do wypisania
Musisz się zalogować aby dodać komentarz

Znasz inny sposób na rozwiązanie tego zadania?

Dodaj swoje rozwiązanie

Dodaj swoje rozwiązanie:

Zabronione jest kopiowanie wszelkich treści!
Musisz się zalogować aby dodać rozwiazanie do zadania.
Strona korzysta z plików cookie w celu realizacji usług zgodnie z Polityką Prywatności. Możesz określić warunki przechowywania lub dostępu do cookie w twojej przeglądarce lub konfiguracji usługi.