Z talii 52 kart losujemy jedną. Prawdopodobieństwo, że wylosujemy króla lub kiera, jest równe : a) 17/52 b) 16/52 c) 9/52 d) 1/52

Zadanie 4191 (rozwiązane)

Ekspresowy Kurs Maturalny z matematyki

Zdajesz matematykę bo musisz? Przygotuj się do matury nawet w 7 dni! Zapisz się dzisiaj
Zadanie dodane przez Jolcia , 03.11.2012 17:40
Jolcia 20121031145722 thumb
Z talii 52 kart losujemy jedną. Prawdopodobieństwo, że wylosujemy króla lub kiera, jest równe :
a) 17/52
b) 16/52
c) 9/52
d) 1/52

Nadesłane rozwiązania ( 1 )

Rozwiązanie 1 dodane przez monijatcz , 03.11.2012 18:47
Monijatcz 20121028144130 thumb
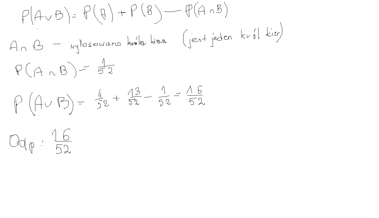
Odp: 16/52
rozwiązanie:
A- wylosowano króla ( w talii są cztery króle)
P(A)= 4/52
B-wylosowano kiera
P(B) = 13/52 ( są cztery kolory w talii więc 52:4 = 13 czyli w talii jest 13 kierów)

Niestety nie wiem jak zapisać tu sumę zdarzeń A lub B zatem dalsze rozwiązanie w załączniku
    • Jolcia 20121031145722 thumb
      Jolcia 04.11.2012 18:26

      Dziękuję bardzo ;)

Musisz się zalogować aby dodać komentarz

Znasz inny sposób na rozwiązanie tego zadania?

Dodaj swoje rozwiązanie

Dodaj swoje rozwiązanie:

Zabronione jest kopiowanie wszelkich treści!
Musisz się zalogować aby dodać rozwiazanie do zadania.
Strona korzysta z plików cookie w celu realizacji usług zgodnie z Polityką Prywatności. Możesz określić warunki przechowywania lub dostępu do cookie w twojej przeglądarce lub konfiguracji usługi.