Rzucono dwiema sześciennymi kostkami do gry i określono zdarzenia: A-na każdej kostce wypadła nieparzysta liczba oczek, B-suma wyrzuconych oczek jest nie mniejsza niż 8. Oblicz prawdopodobieństwo zdarzenia AsumaB .

Zadanie 4215 (rozwiązane)

Ekspresowy Kurs Maturalny z matematyki

Zdajesz matematykę bo musisz? Przygotuj się do matury nawet w 7 dni! Zapisz się dzisiaj
Zadanie dodane przez Jolcia , 04.11.2012 19:07
Jolcia 20121031145722 thumb
Rzucono dwiema sześciennymi kostkami do gry i określono zdarzenia:
A-na każdej kostce wypadła nieparzysta liczba oczek,
B-suma wyrzuconych oczek jest nie mniejsza niż 8.
Oblicz prawdopodobieństwo zdarzenia AsumaB .

Nadesłane rozwiązania ( 1 )

Rozwiązanie 1 dodane przez monijatcz , 04.11.2012 20:20
Monijatcz 20121028144130 thumb
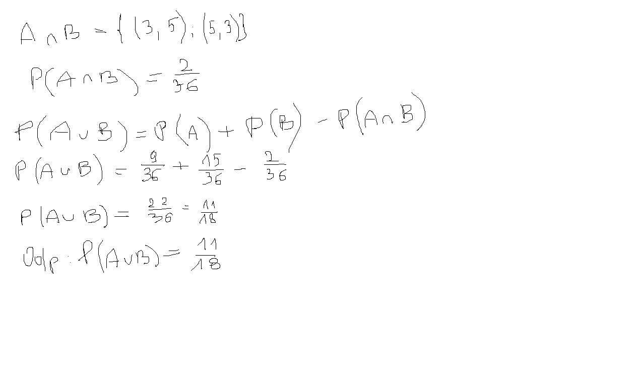
liczba \Omega = 6*6=36
A={(1,1),(1,3), (1,5), (3,1), (3,3),(3,5),(5,1),(5,3),(5,5)}
P(A)=9/36
B={(2,6), (3,5),(3,6),(4,4),(4,5), (4,6),(5,3),(5,4),(5,5),(5,6),(6,2),(6,3),(6,4),(6,5),(6,6)}
P(B)=15/36
( żeby obliczyć sumę tych zdarzeń musimy wyznaczyć iloczyn tych zdarzeń). Dalsza część rozwiązania w załączniku.
    • Jolcia 20121031145722 thumb
      Jolcia 05.11.2012 15:36

      Dziękuję ;D

Musisz się zalogować aby dodać komentarz

Znasz inny sposób na rozwiązanie tego zadania?

Dodaj swoje rozwiązanie

Dodaj swoje rozwiązanie:

Zabronione jest kopiowanie wszelkich treści!
Musisz się zalogować aby dodać rozwiazanie do zadania.
Strona korzysta z plików cookie w celu realizacji usług zgodnie z Polityką Prywatności. Możesz określić warunki przechowywania lub dostępu do cookie w twojej przeglądarce lub konfiguracji usługi.