[tex]1+3+9+...+x=1093[/tex] Lewa strona tego równania jest suma kilku początkowych wyrazów ciągu geometrycznego. I jak mam zapisać to ?? $a_{1}=1 , q=3$ $x=1 \cdot 3^{n-1} $ ale jak to rozwiązać??

Zadanie 2009 (rozwiązane)

Ekspresowy Kurs Maturalny z matematyki

Zdajesz matematykę bo musisz? Przygotuj się do matury nawet w 7 dni! Zapisz się dzisiaj
Zadanie dodane przez kamiolka28 , 17.02.2012 18:01
Default avatar
1+3+9+...+x=1093 Lewa strona tego równania jest suma kilku początkowych wyrazów ciągu geometrycznego.
I jak mam zapisać to ??
a_{1}=1 , q=3
x=1 * 3^{n-1} ale jak to rozwiązać??

Nadesłane rozwiązania ( 1 )

Rozwiązanie 1 dodane przez Patrycja12321 , 17.02.2012 18:18
Patrycja12321 20120217150119 thumb
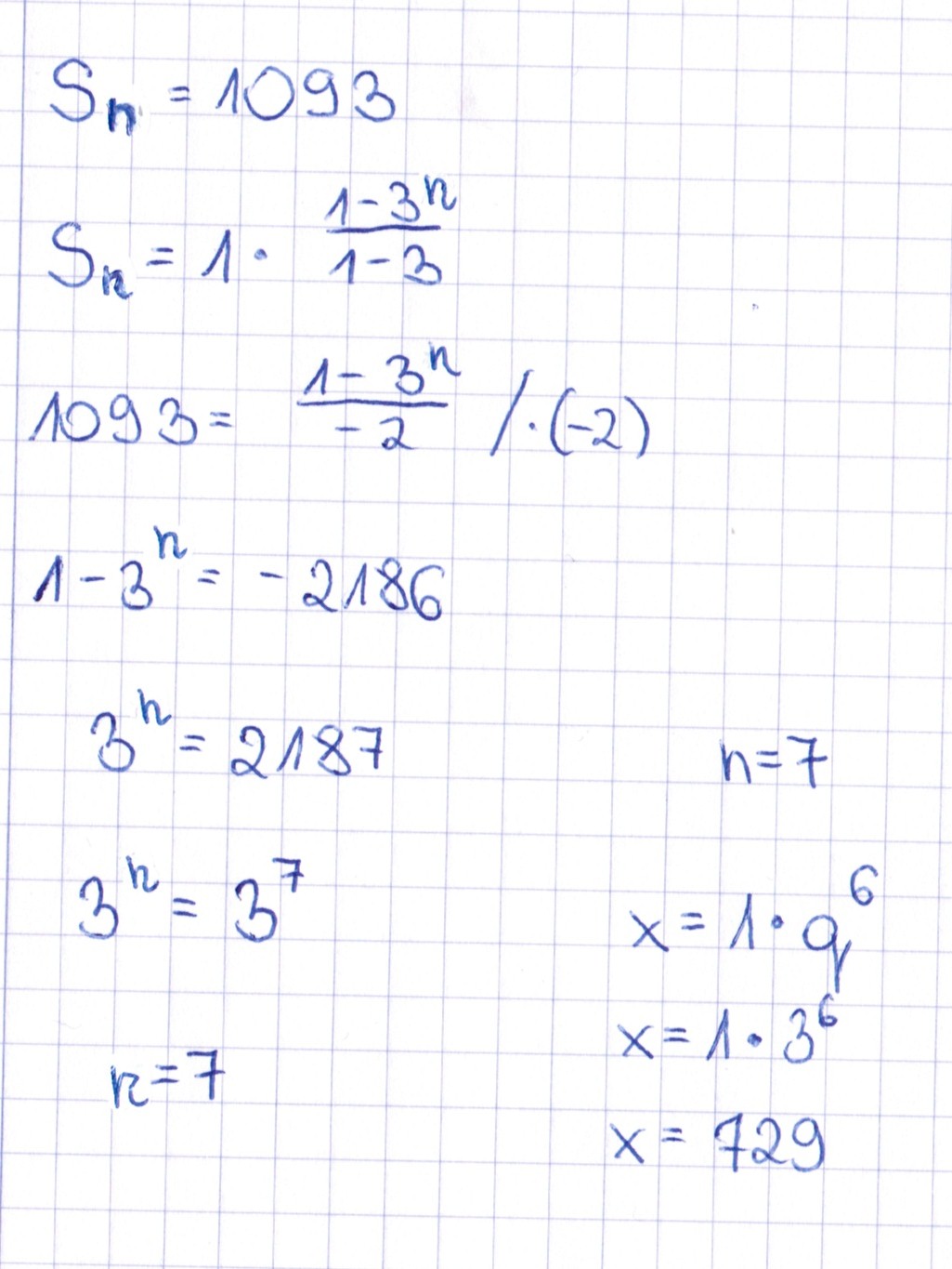
Rozwiązanie w załączniku ;))
Musisz się zalogować aby dodać komentarz

Znasz inny sposób na rozwiązanie tego zadania?

Dodaj swoje rozwiązanie

Dodaj swoje rozwiązanie:

Zabronione jest kopiowanie wszelkich treści!
Musisz się zalogować aby dodać rozwiazanie do zadania.
Strona korzysta z plików cookie w celu realizacji usług zgodnie z Polityką Prywatności. Możesz określić warunki przechowywania lub dostępu do cookie w twojej przeglądarce lub konfiguracji usługi.