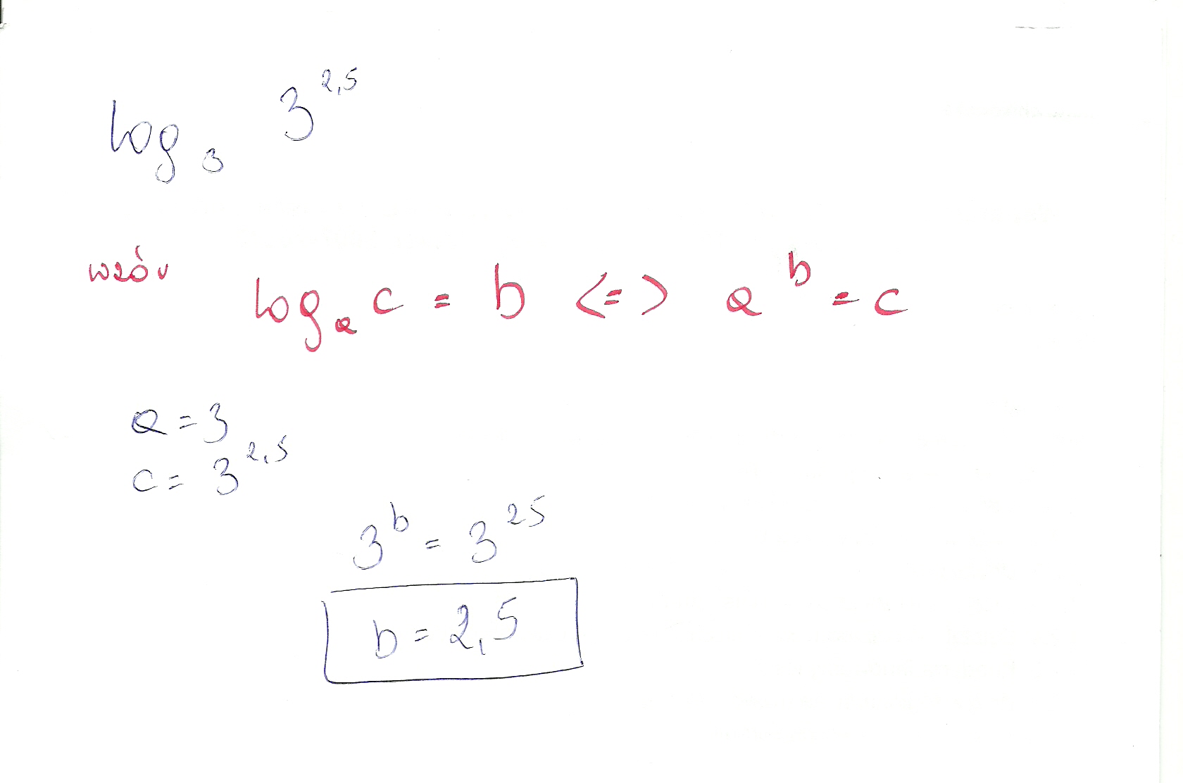
a) log3{3}do potęgi 2/5

Zadanie 2299 (rozwiązane)

Ekspresowy Kurs Maturalny z matematyki

Zdajesz matematykę bo musisz? Przygotuj się do matury nawet w 7 dni! Zapisz się dzisiaj
Zadanie dodane przez ewelina2843 , 03.03.2012 16:07
Default avatar
a) log3{3}do potęgi 2/5

Nadesłane rozwiązania ( 2 )

Rozwiązanie 1 dodane przez Martika , 04.03.2012 21:19
Default avatar
...
Musisz się zalogować aby dodać komentarz
Rozwiązanie 2 dodane przez Martika , 04.03.2012 21:44
Default avatar
żle mi się napisało nie 2,5 tylko 2/5
Musisz się zalogować aby dodać komentarz

Znasz inny sposób na rozwiązanie tego zadania?

Dodaj swoje rozwiązanie

Dodaj swoje rozwiązanie:

Zabronione jest kopiowanie wszelkich treści!
Musisz się zalogować aby dodać rozwiazanie do zadania.
Strona korzysta z plików cookie w celu realizacji usług zgodnie z Polityką Prywatności. Możesz określić warunki przechowywania lub dostępu do cookie w twojej przeglądarce lub konfiguracji usługi.