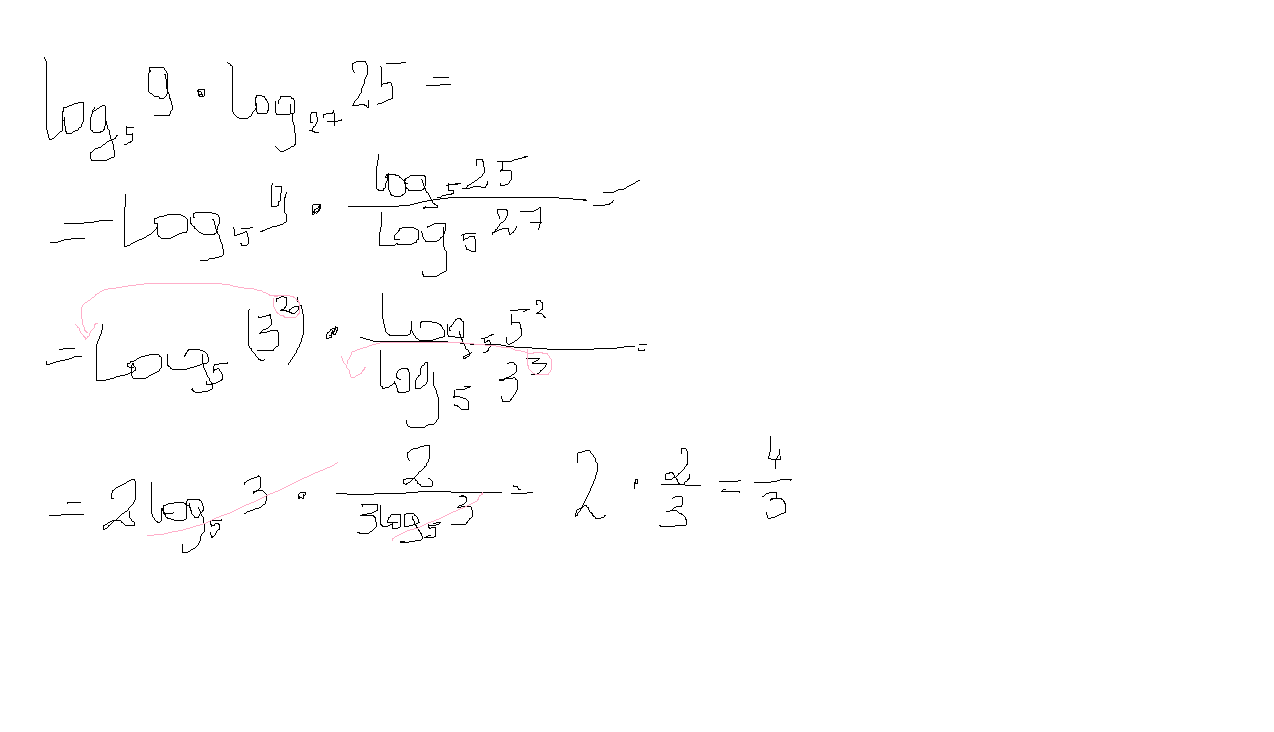
Oblicz: $log_{5}$9*$log_{27}$25=

Zadanie 4153 (rozwiązane)

Ekspresowy Kurs Maturalny z matematyki

Zdajesz matematykę bo musisz? Przygotuj się do matury nawet w 7 dni! Zapisz się dzisiaj
Zadanie dodane przez marysia1993 , 31.10.2012 18:57
Marysia1993 20121018164751 thumb
Oblicz:
log_{5}9*log_{27}25=

Nadesłane rozwiązania ( 1 )

Rozwiązanie 1 dodane przez monijatcz , 01.11.2012 12:54
Monijatcz 20121028144130 thumb
ROZWIĄZANIE -załącznik
ODP.4/3
Musisz się zalogować aby dodać komentarz

Znasz inny sposób na rozwiązanie tego zadania?

Dodaj swoje rozwiązanie

Dodaj swoje rozwiązanie:

Zabronione jest kopiowanie wszelkich treści!
Musisz się zalogować aby dodać rozwiazanie do zadania.
Strona korzysta z plików cookie w celu realizacji usług zgodnie z Polityką Prywatności. Możesz określić warunki przechowywania lub dostępu do cookie w twojej przeglądarce lub konfiguracji usługi.