proszę o pomoc ;)

Zadanie 4412 (rozwiązane)

Ekspresowy Kurs Maturalny z matematyki

Zdajesz matematykę bo musisz? Przygotuj się do matury nawet w 7 dni! Zapisz się dzisiaj
Zadanie dodane przez Kinia_5 , 14.11.2012 21:59
Default avatar
proszę o pomoc ;)

Nadesłane rozwiązania ( 1 )

Rozwiązanie 1 dodane przez monijatcz , 14.11.2012 22:11
Monijatcz 20121028144130 thumb
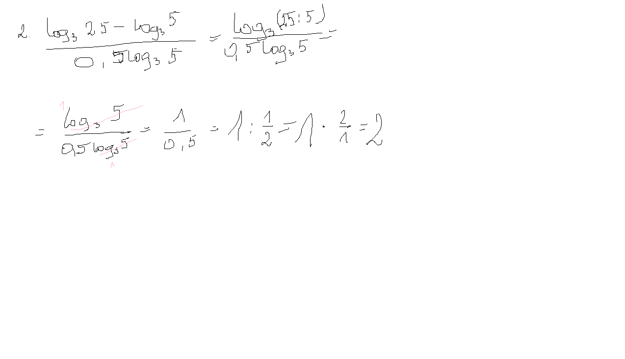
Przykład 1 już podawałaś wcześniej i został rozwiązany.W załączniku podaje przykład 2.
PS Jeśli chodzi o zadanie z funkcji (PODANE WCZEŚNIEJ) spróbuj najpierw narysować y=4^x a następnie przesunąć o wektor.
    • Default avatar
      Kinia_5 14.11.2012 22:20

      no własnie w tamtym co ktoś inny rozwiązał nie było tak pokazane jak się skraca i nie rozumiałam ;p bo ja myślałam, że to 0,5 jak jest przed logarytmem to mam dać jako potęgę, bo czasem się tak robi ;P ale teraz już wiem i drugi przykład już też rozumiem , dzięki.! ;)

Musisz się zalogować aby dodać komentarz

Znasz inny sposób na rozwiązanie tego zadania?

Dodaj swoje rozwiązanie

Dodaj swoje rozwiązanie:

Zabronione jest kopiowanie wszelkich treści!
Musisz się zalogować aby dodać rozwiazanie do zadania.
Strona korzysta z plików cookie w celu realizacji usług zgodnie z Polityką Prywatności. Możesz określić warunki przechowywania lub dostępu do cookie w twojej przeglądarce lub konfiguracji usługi.