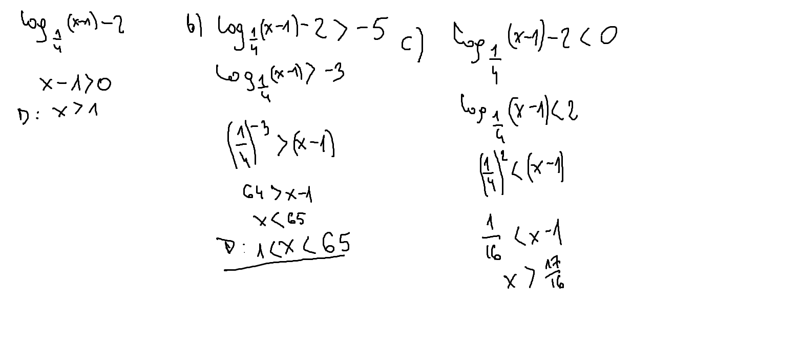
Dana jest funkcja logarytmiczna o wzorze f(x)=log1/4(x-1)-2. a) Wyznacz dziedzinę funkcji f b) Wyznacz zbiór wszystkich argumentów, dla których wartości funkcji są większe od -5 c) Oblicz, dla jakich argumentów wartości funkcji są niedodatnie

Zadanie 6712 (rozwiązane)

Ekspresowy Kurs Maturalny z matematyki

Zdajesz matematykę bo musisz? Przygotuj się do matury nawet w 7 dni! Zapisz się dzisiaj
Zadanie dodane przez aloomm , 16.10.2013 14:49
Aloomm 20131016144224 thumb
Dana jest funkcja logarytmiczna o wzorze f(x)=log1/4(x-1)-2.
a) Wyznacz dziedzinę funkcji f
b) Wyznacz zbiór wszystkich argumentów, dla których wartości funkcji są większe od -5
c) Oblicz, dla jakich argumentów wartości funkcji są niedodatnie

Nadesłane rozwiązania ( 1 )

Rozwiązanie 1 dodane przez iron_slax , 16.10.2013 15:09
Iron slax 20130911170220 thumb
W załącznku
Musisz się zalogować aby dodać komentarz

Znasz inny sposób na rozwiązanie tego zadania?

Dodaj swoje rozwiązanie

Dodaj swoje rozwiązanie:

Zabronione jest kopiowanie wszelkich treści!
Musisz się zalogować aby dodać rozwiazanie do zadania.
Strona korzysta z plików cookie w celu realizacji usług zgodnie z Polityką Prywatności. Możesz określić warunki przechowywania lub dostępu do cookie w twojej przeglądarce lub konfiguracji usługi.