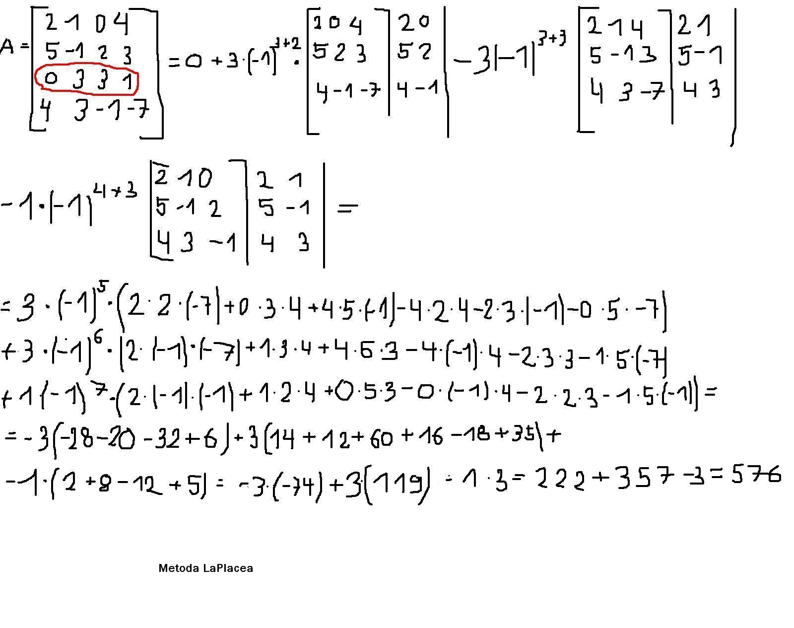
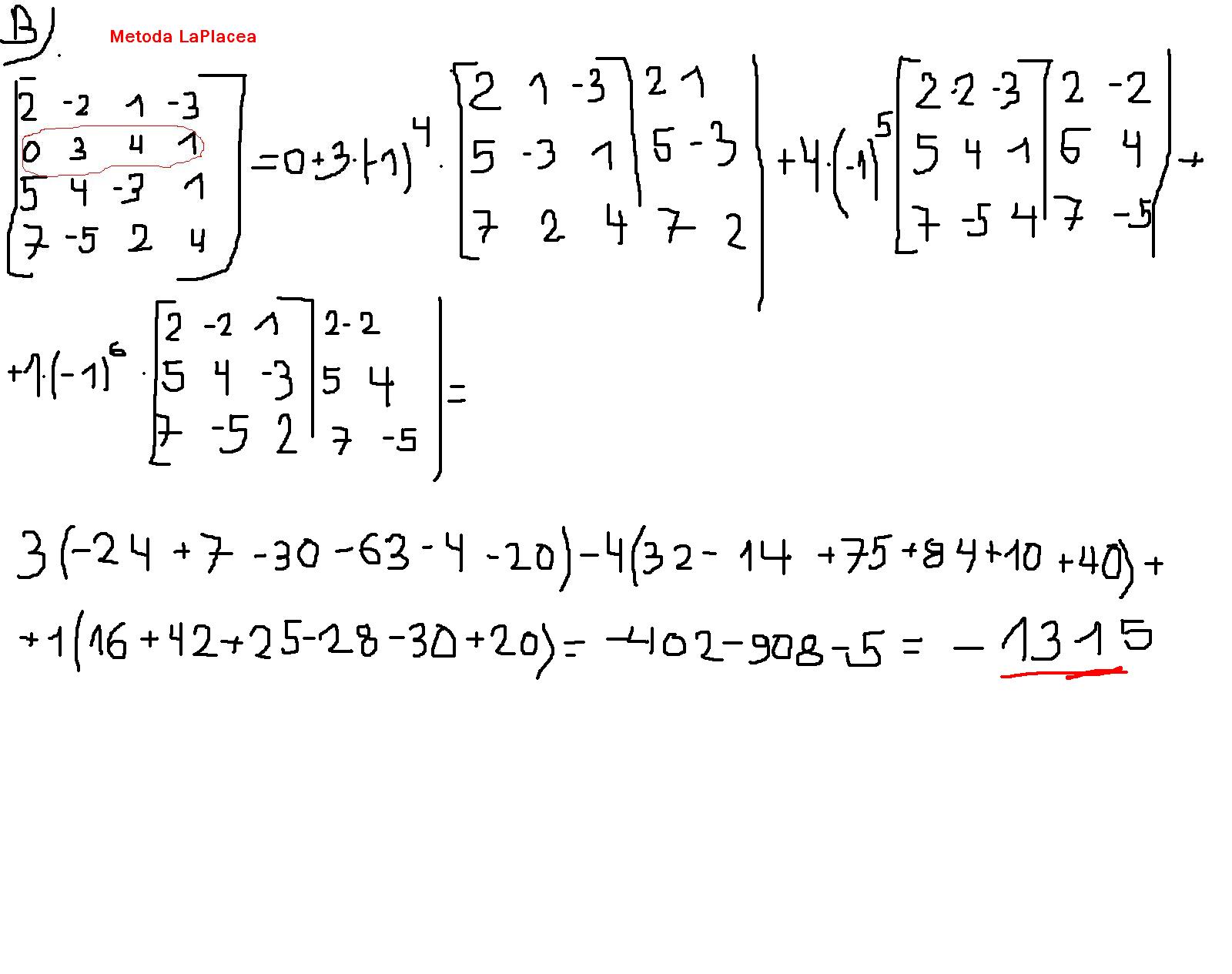
Oblicz wyznaczniki a) 2 1 0 4 5 -1 2 3 0 3 3 1 4 3 -1 -7 b) 2 -2 1 -3 0 3 4 1 5 4 -3 1 7 -5 2 4

Zadanie 3992 (rozwiązane)

Ekspresowy Kurs Maturalny z matematyki

Zdajesz matematykę bo musisz? Przygotuj się do matury nawet w 7 dni! Zapisz się dzisiaj
Zadanie dodane przez Paulusia1606 , 11.10.2012 15:38
Default avatar
Oblicz wyznaczniki
a) 2 1 0 4
5 -1 2 3
0 3 3 1
4 3 -1 -7

b) 2 -2 1 -3
0 3 4 1
5 4 -3 1
7 -5 2 4

Nadesłane rozwiązania ( 1 )

Rozwiązanie 1 dodane przez Abaddon24 , 12.10.2012 00:08
Abaddon24 20111123224018 thumb
Odpowiedzi masz w załączniku
Musisz się zalogować aby dodać komentarz

Znasz inny sposób na rozwiązanie tego zadania?

Dodaj swoje rozwiązanie

Dodaj swoje rozwiązanie:

Zabronione jest kopiowanie wszelkich treści!
Musisz się zalogować aby dodać rozwiazanie do zadania.
Strona korzysta z plików cookie w celu realizacji usług zgodnie z Polityką Prywatności. Możesz określić warunki przechowywania lub dostępu do cookie w twojej przeglądarce lub konfiguracji usługi.