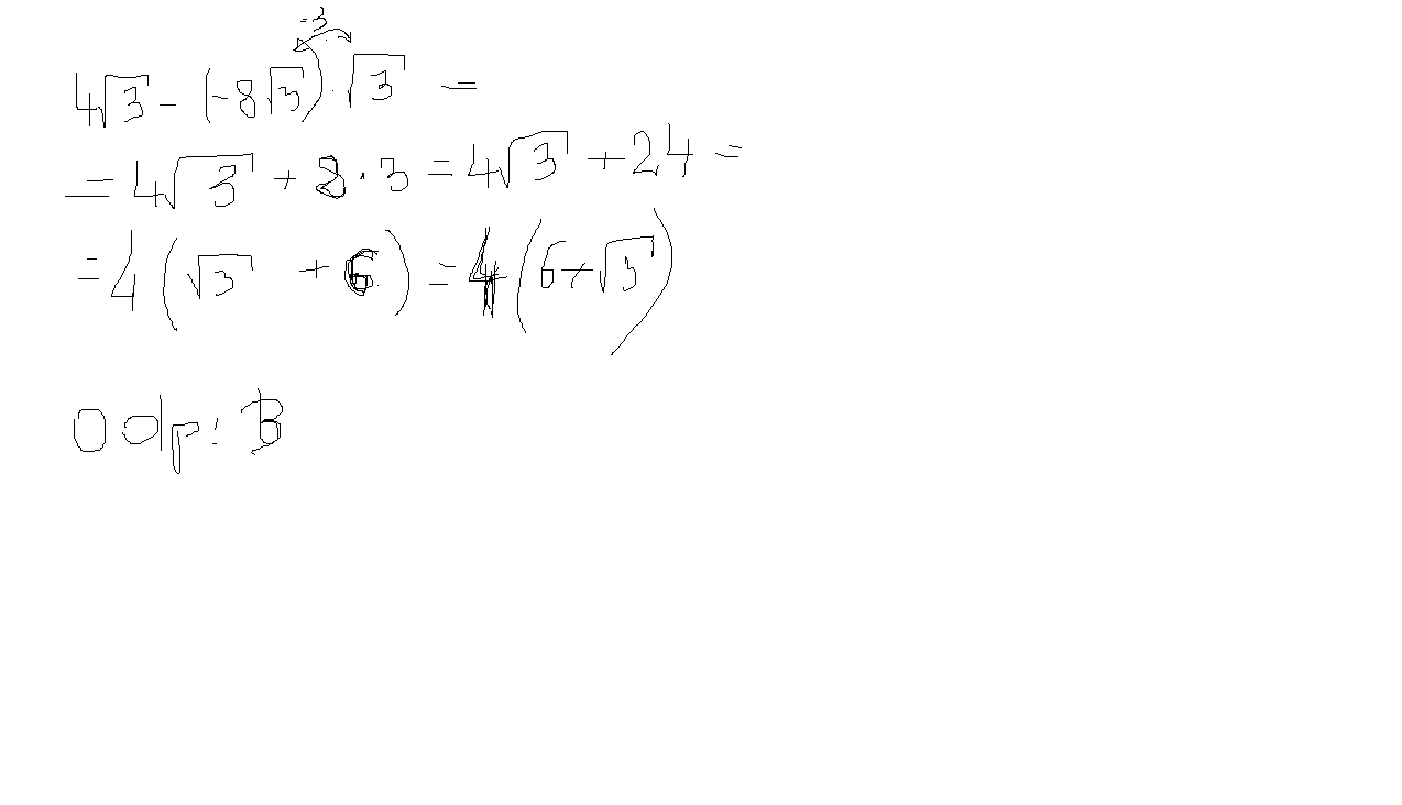
wartość wyrażenia x-y$\sqrt(3)$ dla x = 4$\sqrt(3)$ i y = -8$\sqrt(3)$ wynosi : a) 12$\sqrt(3)$ b ) 4(6+$\sqrt(3)$) c) 4($\sqrt(3)$ - 6) d ) 4$\sqrt(3)$ +8$\sqrt(6)$

Zadanie 4115 (rozwiązane)

Ekspresowy Kurs Maturalny z matematyki

Zdajesz matematykę bo musisz? Przygotuj się do matury nawet w 7 dni! Zapisz się dzisiaj
Zadanie dodane przez kamil_93 , 29.10.2012 10:08
Default avatar
wartość wyrażenia x-y\sqrt(3) dla x = 4\sqrt(3) i y = -8\sqrt(3) wynosi :

a) 12\sqrt(3) b ) 4(6+\sqrt(3)) c) 4(\sqrt(3) - 6) d ) 4\sqrt(3) +8\sqrt(6)

Nadesłane rozwiązania ( 1 )

Rozwiązanie 1 dodane przez monijatcz , 29.10.2012 12:07
Monijatcz 20121028144130 thumb
załącznik-rozwiązanie
odp.B
Musisz się zalogować aby dodać komentarz

Znasz inny sposób na rozwiązanie tego zadania?

Dodaj swoje rozwiązanie

Dodaj swoje rozwiązanie:

Zabronione jest kopiowanie wszelkich treści!
Musisz się zalogować aby dodać rozwiazanie do zadania.
Strona korzysta z plików cookie w celu realizacji usług zgodnie z Polityką Prywatności. Możesz określić warunki przechowywania lub dostępu do cookie w twojej przeglądarce lub konfiguracji usługi.