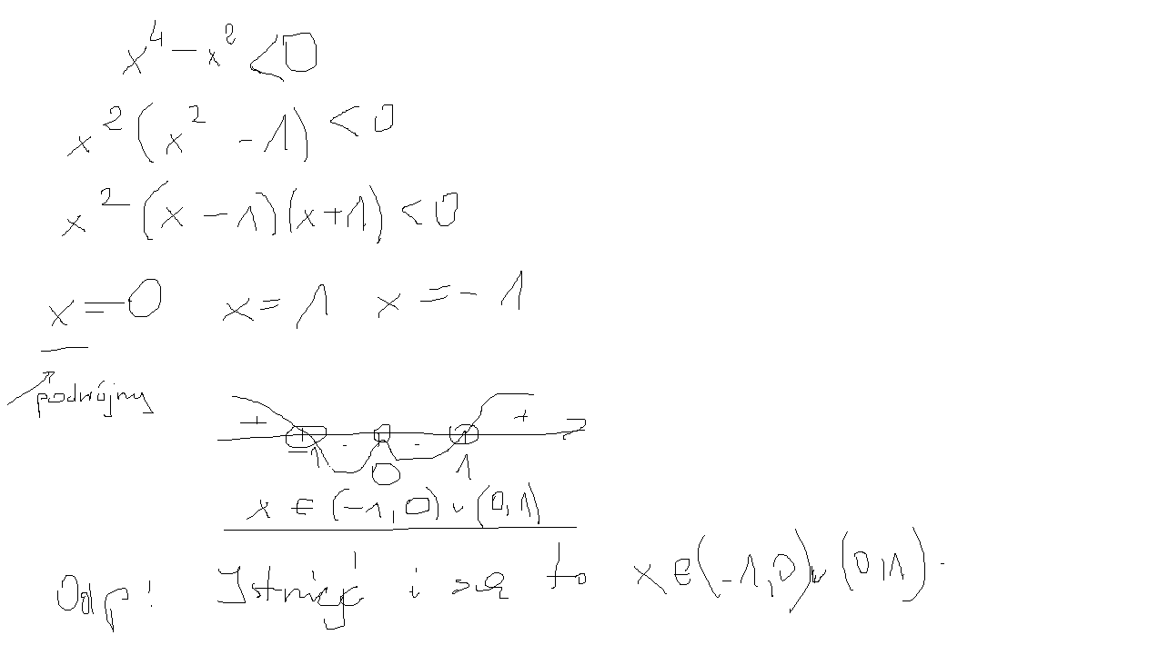
Czy istnieje taka liczba rzeczywista x, że $x^{2}$ > $x^{4}$ ?

Zadanie 4220 (rozwiązane)

Ekspresowy Kurs Maturalny z matematyki

Zdajesz matematykę bo musisz? Przygotuj się do matury nawet w 7 dni! Zapisz się dzisiaj
Zadanie dodane przez Kamilka0606 , 04.11.2012 19:18
Kamilka0606 20121104185951 thumb
Czy istnieje taka liczba rzeczywista x, że x^{2} > x^{4} ?

Nadesłane rozwiązania ( 1 )

Rozwiązanie 1 dodane przez monijatcz , 04.11.2012 19:33
Monijatcz 20121028144130 thumb
Jeśli chodzi tylko o podanie takiej liczby to np 1/2 tę nierówność spełnia
Rozwiązanie całej nierówności w załączniku.
Musisz się zalogować aby dodać komentarz

Znasz inny sposób na rozwiązanie tego zadania?

Dodaj swoje rozwiązanie

Dodaj swoje rozwiązanie:

Zabronione jest kopiowanie wszelkich treści!
Musisz się zalogować aby dodać rozwiazanie do zadania.
Strona korzysta z plików cookie w celu realizacji usług zgodnie z Polityką Prywatności. Możesz określić warunki przechowywania lub dostępu do cookie w twojej przeglądarce lub konfiguracji usługi.