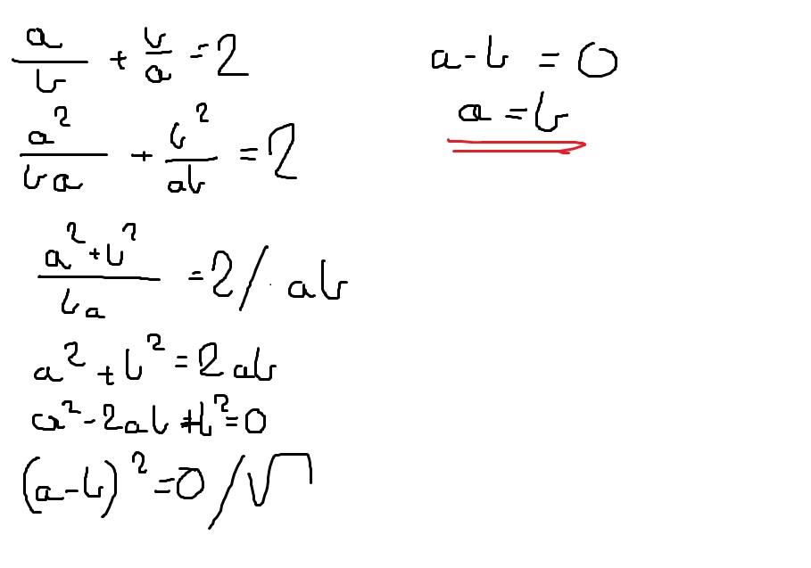
Zrobiłam wszystkie zadania z przekształcania wzorów, ale tego zadania nie potrafię rozwiązać, ale pewnie jest łatwe... Wykaż, że jeśli:

Zadanie 4956 (rozwiązane)

Ekspresowy Kurs Maturalny z matematyki

Zdajesz matematykę bo musisz? Przygotuj się do matury nawet w 7 dni! Zapisz się dzisiaj
Zadanie dodane przez czeekolaaada , 10.12.2012 19:04
Default avatar
Zrobiłam wszystkie zadania z przekształcania wzorów, ale tego zadania nie potrafię rozwiązać, ale pewnie jest łatwe...

Wykaż, że jeśli:

Nadesłane rozwiązania ( 1 )

Rozwiązanie 1 dodane przez Abaddon24 , 10.12.2012 20:18
Abaddon24 20111123224018 thumb
w zalaczniku
Musisz się zalogować aby dodać komentarz

Znasz inny sposób na rozwiązanie tego zadania?

Dodaj swoje rozwiązanie

Dodaj swoje rozwiązanie:

Zabronione jest kopiowanie wszelkich treści!
Musisz się zalogować aby dodać rozwiazanie do zadania.
Strona korzysta z plików cookie w celu realizacji usług zgodnie z Polityką Prywatności. Możesz określić warunki przechowywania lub dostępu do cookie w twojej przeglądarce lub konfiguracji usługi.