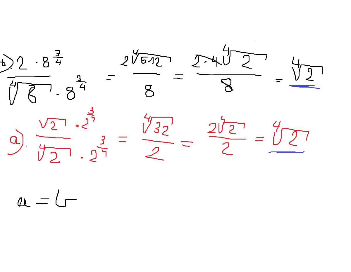
Wykaż, że liczby a=(w załączniku) i b=(w załączniku) są równe. Przepraszam że umieszczam to w załącznikach ale za nic nie mogę zapisać tego w zadaniu.

Zadanie 6845 (rozwiązane)

Ekspresowy Kurs Maturalny z matematyki

Zdajesz matematykę bo musisz? Przygotuj się do matury nawet w 7 dni! Zapisz się dzisiaj
Zadanie dodane przez Kazik , 05.11.2013 21:54
Default avatar
Wykaż, że liczby a=(w załączniku) i b=(w załączniku) są równe.

Przepraszam że umieszczam to w załącznikach ale za nic nie mogę zapisać tego w zadaniu.

Nadesłane rozwiązania ( 1 )

Rozwiązanie 1 dodane przez Abaddon24 , 06.11.2013 00:55
Abaddon24 20111123224018 thumb
rozwiązanie w załączniku
Musisz się zalogować aby dodać komentarz

Znasz inny sposób na rozwiązanie tego zadania?

Dodaj swoje rozwiązanie

Dodaj swoje rozwiązanie:

Zabronione jest kopiowanie wszelkich treści!
Musisz się zalogować aby dodać rozwiazanie do zadania.
Strona korzysta z plików cookie w celu realizacji usług zgodnie z Polityką Prywatności. Możesz określić warunki przechowywania lub dostępu do cookie w twojej przeglądarce lub konfiguracji usługi.