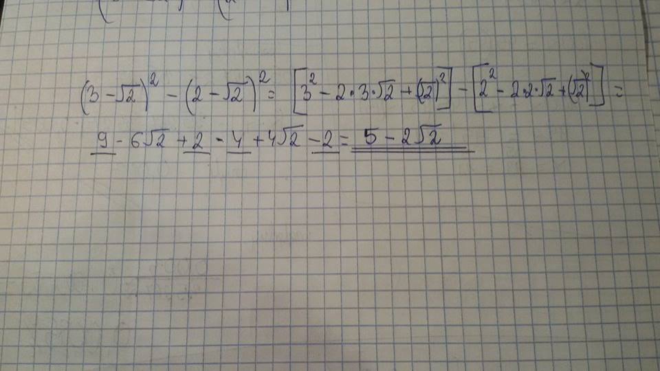
Wykonaj działania (3-$\sqrt{2}$)do potęgi drugiej - (2-$\sqrt{2}$)do potęgi drugiej

Zadanie 7750 (rozwiązane)

Ekspresowy Kurs Maturalny z matematyki

Zdajesz matematykę bo musisz? Przygotuj się do matury nawet w 7 dni! Zapisz się dzisiaj
Zadanie dodane przez kiniabogdan00 , 03.03.2015 12:31
Kiniabogdan00 20150303122632 thumb
Wykonaj działania (3-\sqrt{2})do potęgi drugiej - (2-\sqrt{2})do potęgi drugiej

Nadesłane rozwiązania ( 1 )

Rozwiązanie 1 dodane przez human13 , 03.03.2015 15:47
Human13 20150302185523 thumb
5-2\sqrt{2}
Musisz się zalogować aby dodać komentarz

Znasz inny sposób na rozwiązanie tego zadania?

Dodaj swoje rozwiązanie

Dodaj swoje rozwiązanie:

Zabronione jest kopiowanie wszelkich treści!
Musisz się zalogować aby dodać rozwiazanie do zadania.
Strona korzysta z plików cookie w celu realizacji usług zgodnie z Polityką Prywatności. Możesz określić warunki przechowywania lub dostępu do cookie w twojej przeglądarce lub konfiguracji usługi.