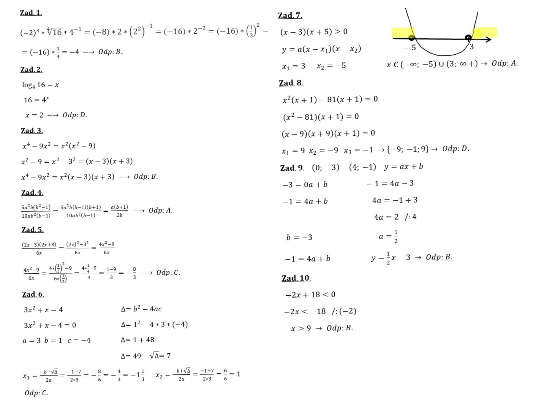
Dla x=½ wyrażenie (2x-3)(2x+3)/6x Ma wartość A) 8/3 B)-8 C)-8/3 D)-⅜

Zadanie 8203 (rozwiązane)

Ekspresowy Kurs Maturalny z matematyki

Zdajesz matematykę bo musisz? Przygotuj się do matury nawet w 7 dni! Zapisz się dzisiaj
Zadanie dodane przez Gog55 , 28.01.2021 18:46
Default avatar
Dla x=½ wyrażenie (2x-3)(2x+3)/6x
Ma wartość
A) 8/3
B)-8
C)-8/3
D)-⅜

Nadesłane rozwiązania ( 1 )

Rozwiązanie 1 dodane przez Angelaa_242 , 10.08.2025 02:57
Default avatar
Załącznik
Musisz się zalogować aby dodać komentarz

Znasz inny sposób na rozwiązanie tego zadania?

Dodaj swoje rozwiązanie

Dodaj swoje rozwiązanie:

Zabronione jest kopiowanie wszelkich treści!
Musisz się zalogować aby dodać rozwiazanie do zadania.
Strona korzysta z plików cookie w celu realizacji usług zgodnie z Polityką Prywatności. Możesz określić warunki przechowywania lub dostępu do cookie w twojej przeglądarce lub konfiguracji usługi.