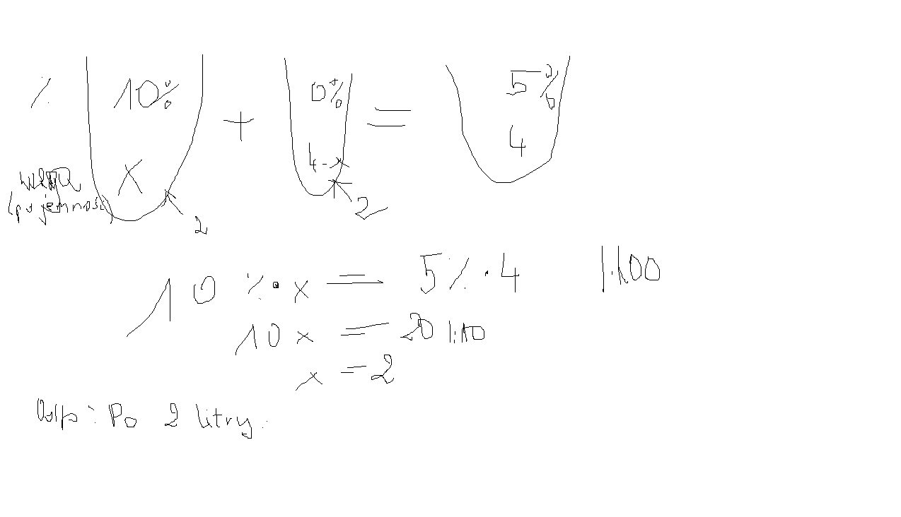
Ile trzeba wziąć octu 10 - procentowego i ile wody , aby otrzymać 4 litry zalewy octowej o stężeniu 5 % ?

Zadanie 4099 (rozwiązane)

Ekspresowy Kurs Maturalny z matematyki

Zdajesz matematykę bo musisz? Przygotuj się do matury nawet w 7 dni! Zapisz się dzisiaj
Zadanie dodane przez Mtomalska , 28.10.2012 12:44
Mtomalska 20120515155240 thumb
Ile trzeba wziąć octu 10 - procentowego i ile wody , aby otrzymać 4 litry zalewy octowej o stężeniu 5 % ?

Nadesłane rozwiązania ( 1 )

Rozwiązanie 1 dodane przez monijatcz , 28.10.2012 14:01
Monijatcz 20121028144130 thumb
załącznik
Musisz się zalogować aby dodać komentarz

Znasz inny sposób na rozwiązanie tego zadania?

Dodaj swoje rozwiązanie

Dodaj swoje rozwiązanie:

Zabronione jest kopiowanie wszelkich treści!
Musisz się zalogować aby dodać rozwiazanie do zadania.
Strona korzysta z plików cookie w celu realizacji usług zgodnie z Polityką Prywatności. Możesz określić warunki przechowywania lub dostępu do cookie w twojej przeglądarce lub konfiguracji usługi.