Zadanie
dodane przez
Olka2111
,
10.11.2012 18:39
Proszę w pomoc w rozwiązaniu zadać i wyjaśnienie.
Zad1
Która z podanych liczb jest najmniejsza?
a)(-1)^301
b)(-1)^26
c)1^275
d)(1/2)^-3
zad.2 Ile razy liczba 0,312 ^2 jest najmniejsza od liczby 312 ^2?
a)100 000 razy
b)1000 000 razy
c)1000 razy
d)10000 razy
zad.3 Masę Słońca równą 1,989 * 10^33 g można wyrazić w kg jako
a)198,9 * 10^27
b)1,989 * 10^29
c)19,89*10^31
d)1989*10^27
zad.4 Na liście uczestników obozu jest 12 chłopców i 18 dziewcząt.Jeżeli na obóz zgłosi się jeszcze 6 chłopców,to jaką część liczby uczestników obozu będą stanowili chłopcy.
a)2/3
b)3/5
c)1/2
d)4/5
zad 5 Która z podanych liczb ma skończone rozwinięcie dziesiętne.
a)2/3
b)3/7
c)1/8
d)5/12
zad.6 Która z podanych liczb jest równa 1/30
a)0,03
b)0,0(3)
c)0,(30)
d)0,(03)
zad7 Wyrażenie 6 kreska ułamkowa 2 (pierwiastek z 3 -3
a)6p{3}+3
b)2(2p{3}-3
c)4p{3}+6
d)4 p{3}-3
Wskaż przedział,do którego nie należy żadna liczba podzielna przez 3
a)(7;10)
b)(300;303)
C)(101;102>
D<3;&)
ZAD.Która z podanych liczb jest różna od pozostałych?
a)2p{32}
b4p{8}
c8 p{2}
d16 p{2}
Proszę o pomoc .z góry dziękuje
Zad1
Która z podanych liczb jest najmniejsza?
a)(-1)^301
b)(-1)^26
c)1^275
d)(1/2)^-3
zad.2 Ile razy liczba 0,312 ^2 jest najmniejsza od liczby 312 ^2?
a)100 000 razy
b)1000 000 razy
c)1000 razy
d)10000 razy
zad.3 Masę Słońca równą 1,989 * 10^33 g można wyrazić w kg jako
a)198,9 * 10^27
b)1,989 * 10^29
c)19,89*10^31
d)1989*10^27
zad.4 Na liście uczestników obozu jest 12 chłopców i 18 dziewcząt.Jeżeli na obóz zgłosi się jeszcze 6 chłopców,to jaką część liczby uczestników obozu będą stanowili chłopcy.
a)2/3
b)3/5
c)1/2
d)4/5
zad 5 Która z podanych liczb ma skończone rozwinięcie dziesiętne.
a)2/3
b)3/7
c)1/8
d)5/12
zad.6 Która z podanych liczb jest równa 1/30
a)0,03
b)0,0(3)
c)0,(30)
d)0,(03)
zad7 Wyrażenie 6 kreska ułamkowa 2 (pierwiastek z 3 -3
a)6p{3}+3
b)2(2p{3}-3
c)4p{3}+6
d)4 p{3}-3
Wskaż przedział,do którego nie należy żadna liczba podzielna przez 3
a)(7;10)
b)(300;303)
C)(101;102>
D<3;&)
ZAD.Która z podanych liczb jest różna od pozostałych?
a)2p{32}
b4p{8}
c8 p{2}
d16 p{2}
Proszę o pomoc .z góry dziękuje
Nadesłane rozwiązania ( 3 )
Rozwiązanie 1
dodane przez
monijatcz
,
10.11.2012 21:25
1.
a)-1 ( minus do potęgi neparzystej daje minus)
b)1 (minus do potęgi parzystej daje plus)
c)1
d)8 ( liczba do potęgi ujemnej to odwrotność tej liczby)
ODP.A
2.(0,312)^2= (312:1000)^2=(312^2):(1000^2)=(312^2):1 000 000
ODP.B
3. 1kg = 1000g 1g = 1/1000 kg czyli 1g = 10^(-3)kg
1,989 * 10^33g=1,989*10^33*10^(-3)=1,989*10^(33-3)=1,989*10^30
a)198,9*10^27=1,989*10^2*10^27=1,989*10^29
b)1,989 * 10^29
c)19,89*10^31 =1,989*10^1*10^31=1,989*10^32
d)1989*10^27 =1,989*10^3*10^27=1,989*10^30
ODP.D
4. Chłopcy 12+6=18
Wszyscy: 18+18=36
Żeby obliczyć jaką część stanowią chłopcy, wystarczy chłopców podzielić przez liczbę wszystkich.
18/36=1/2
ODP. C
5. Skończone rozwinięcie mają te ułamki, których mianowniki można rozszerzyć do 10 , 100, 1000, itd
ODP.D
Ewentualnie wystarczy w każdym z ułamków zastąpić kreskę ułamkową znakiem dzielenia i na kalkulatorze podzielić. Ułamek, który ma skończoną liczbę miejsc po przecinku - jest skończonym rozwinięciem.
6. 1/30=1:30=0,0333333...=0,0(3) Dzielenie wykonujemy na kalkulatorze.
ODP.B
a)-1 ( minus do potęgi neparzystej daje minus)
b)1 (minus do potęgi parzystej daje plus)
c)1
d)8 ( liczba do potęgi ujemnej to odwrotność tej liczby)
ODP.A
2.(0,312)^2= (312:1000)^2=(312^2):(1000^2)=(312^2):1 000 000
ODP.B
3. 1kg = 1000g 1g = 1/1000 kg czyli 1g = 10^(-3)kg
1,989 * 10^33g=1,989*10^33*10^(-3)=1,989*10^(33-3)=1,989*10^30
a)198,9*10^27=1,989*10^2*10^27=1,989*10^29
b)1,989 * 10^29
c)19,89*10^31 =1,989*10^1*10^31=1,989*10^32
d)1989*10^27 =1,989*10^3*10^27=1,989*10^30
ODP.D
4. Chłopcy 12+6=18
Wszyscy: 18+18=36
Żeby obliczyć jaką część stanowią chłopcy, wystarczy chłopców podzielić przez liczbę wszystkich.
18/36=1/2
ODP. C
5. Skończone rozwinięcie mają te ułamki, których mianowniki można rozszerzyć do 10 , 100, 1000, itd
ODP.D
Ewentualnie wystarczy w każdym z ułamków zastąpić kreskę ułamkową znakiem dzielenia i na kalkulatorze podzielić. Ułamek, który ma skończoną liczbę miejsc po przecinku - jest skończonym rozwinięciem.
6. 1/30=1:30=0,0333333...=0,0(3) Dzielenie wykonujemy na kalkulatorze.
ODP.B
-
- Dodaj komentarz
Musisz się
zalogować
aby dodać komentarz
Rozwiązanie 2
dodane przez
monijatcz
,
11.11.2012 08:59
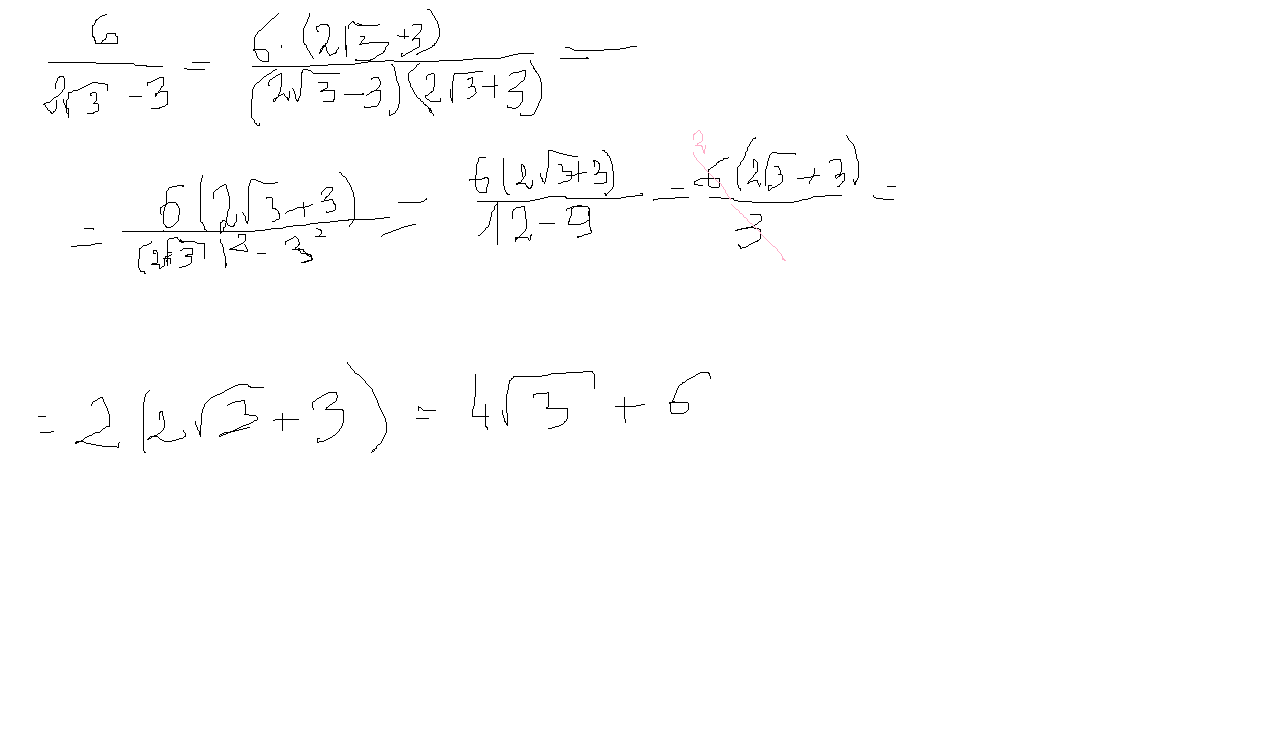
zad7 załącznik
Usuwamy niewymierność z mianownika , mnożąc licznik i mianownik przez to co jest w mianowniku tylko, że ze zmienionym znakiem w środku ( tak by otrzymać w mianowniku wzór: (a-b)(a+b) )
Usuwamy niewymierność z mianownika , mnożąc licznik i mianownik przez to co jest w mianowniku tylko, że ze zmienionym znakiem w środku ( tak by otrzymać w mianowniku wzór: (a-b)(a+b) )
-
-
dziękuje za pomoc:)
-
- Dodaj komentarz
Musisz się
zalogować
aby dodać komentarz
Rozwiązanie 3
dodane przez
konto-usuniete
,
04.11.2013 16:14
Edward
Musisz się
zalogować
aby dodać komentarz
COMMENT_CONTENT