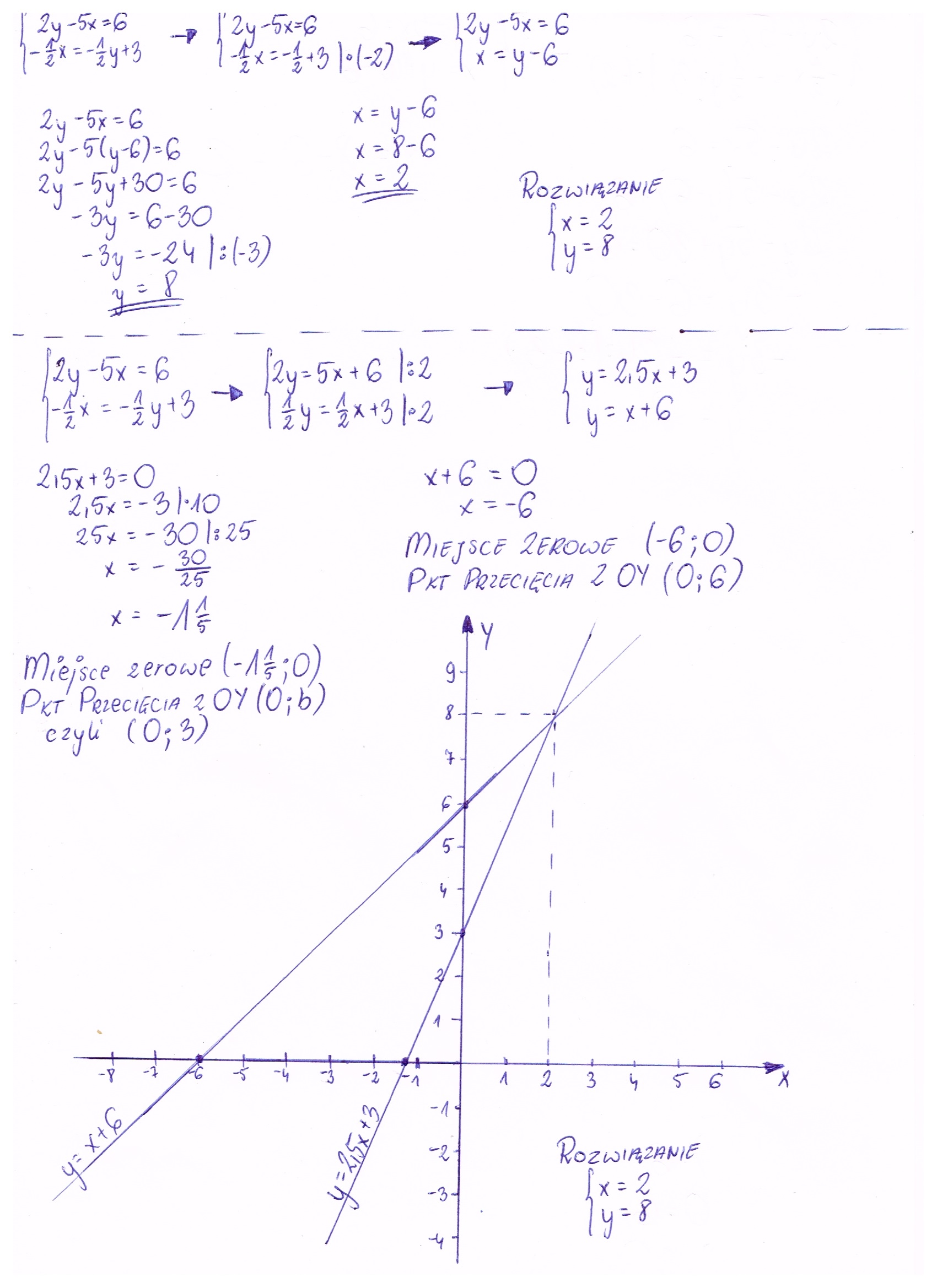
rozwiąż algebraicznie i graficznie układ równań I-go stopnia z dwiema niewiadomymi; 2y-5x=6 -1/2x=-1/2y+3 (oczywiście to wszystko w nawiasie)

Zadanie 3931 (rozwiązane)

Ekspresowy Kurs Maturalny z matematyki

Zdajesz matematykę bo musisz? Przygotuj się do matury nawet w 7 dni! Zapisz się dzisiaj
Zadanie dodane przez tygrys , 06.10.2012 14:33
Tygrys 20120320102220 thumb
rozwiąż algebraicznie i graficznie układ równań I-go stopnia z dwiema niewiadomymi;
2y-5x=6
-1/2x=-1/2y+3

(oczywiście to wszystko w nawiasie)

Nadesłane rozwiązania ( 1 )

Rozwiązanie 1 dodane przez ag94 , 22.09.2013 16:33
Ag94 20130920181728 thumb
rozwiązanie w załączniku
Musisz się zalogować aby dodać komentarz

Znasz inny sposób na rozwiązanie tego zadania?

Dodaj swoje rozwiązanie

Dodaj swoje rozwiązanie:

Zabronione jest kopiowanie wszelkich treści!
Musisz się zalogować aby dodać rozwiazanie do zadania.
Strona korzysta z plików cookie w celu realizacji usług zgodnie z Polityką Prywatności. Możesz określić warunki przechowywania lub dostępu do cookie w twojej przeglądarce lub konfiguracji usługi.