zadanie w załączniku i prosze opiszcie jak to tego doszliscie :) zadanie w załaczniku tzn na rysunku

Zadanie 1784 (rozwiązane)

Ekspresowy Kurs Maturalny z matematyki

Zdajesz matematykę bo musisz? Przygotuj się do matury nawet w 7 dni! Zapisz się dzisiaj
Zadanie dodane przez urszula_skotny , 05.02.2012 16:06
Default avatar
zadanie w załączniku i prosze opiszcie jak to tego doszliscie :) zadanie w załaczniku tzn na rysunku

Nadesłane rozwiązania ( 1 )

Rozwiązanie 1 dodane przez walik , 05.02.2012 16:12
Walik 20120118213127 thumb
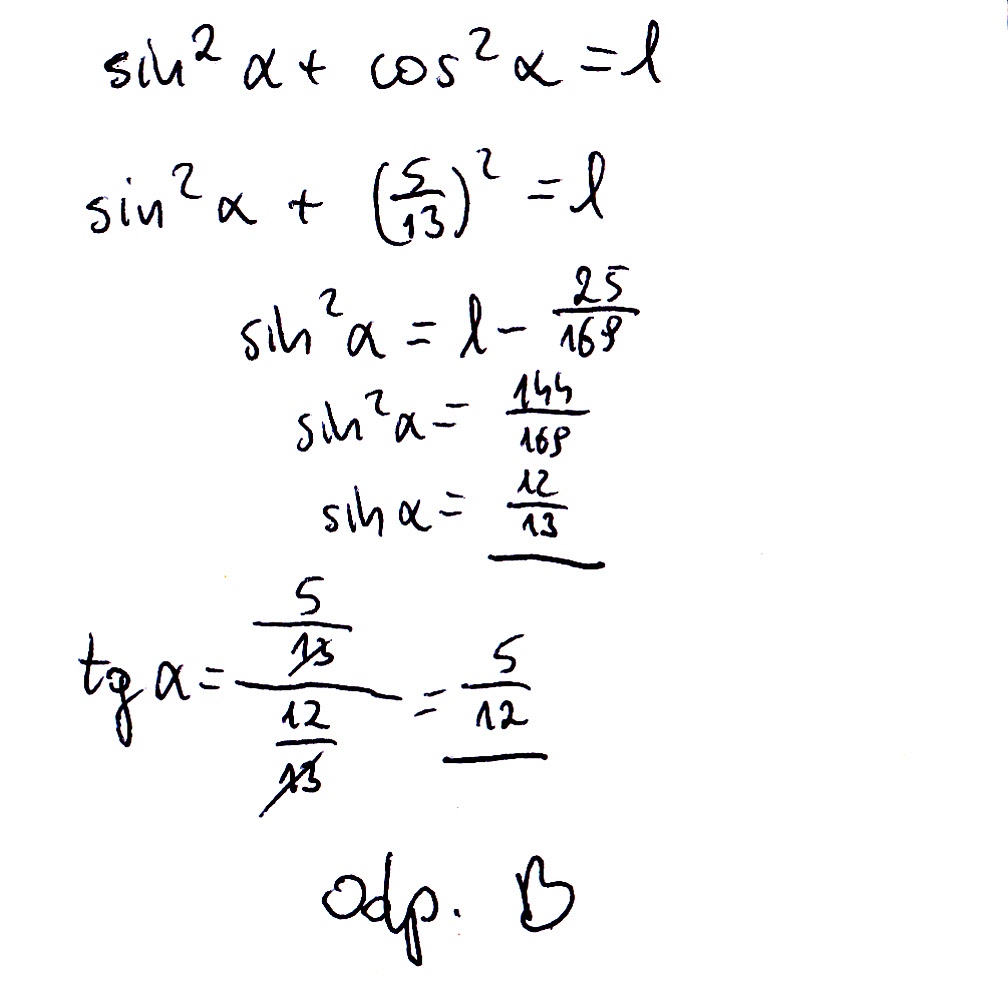
Aby obliczyć sinx korzystamy z jedynki trygonometrycznej. A tgx obliczamy ze wzoru na tgx = \frac{sinx}{cosx}
Rozwiązanie w załączniku.
Musisz się zalogować aby dodać komentarz

Znasz inny sposób na rozwiązanie tego zadania?

Dodaj swoje rozwiązanie

Dodaj swoje rozwiązanie:

Zabronione jest kopiowanie wszelkich treści!
Musisz się zalogować aby dodać rozwiazanie do zadania.
Strona korzysta z plików cookie w celu realizacji usług zgodnie z Polityką Prywatności. Możesz określić warunki przechowywania lub dostępu do cookie w twojej przeglądarce lub konfiguracji usługi.