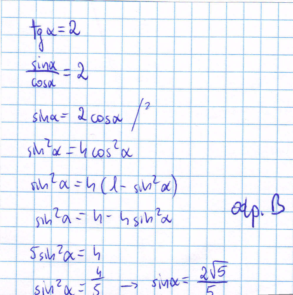
Jeżeli $\alpha$ jest kątem ostrym i tg$\alpha$=2, to: A) sin$\alpha$=√5 / 2 B)sin$\alpha$= 2√5 / 5 C)sin$\alpha$=√5 / 5 D)sin$\alpha$=$\sqrt{5}$

Zadanie 1865 (rozwiązane)

Ekspresowy Kurs Maturalny z matematyki

Zdajesz matematykę bo musisz? Przygotuj się do matury nawet w 7 dni! Zapisz się dzisiaj
Zadanie dodane przez kamil_kaka , 08.02.2012 20:58
Default avatar
Jeżeli \alpha jest kątem ostrym i tg\alpha=2, to:
A) sin\alpha=√5 / 2
B)sin\alpha= 2√5 / 5
C)sin\alpha=√5 / 5
D)sin\alpha=\sqrt{5}

Nadesłane rozwiązania ( 2 )

Rozwiązanie 1 dodane przez walik , 08.02.2012 21:51
Walik 20120118213127 thumb
Rozwiązanie zadania w załączniku.
Musisz się zalogować aby dodać komentarz
Rozwiązanie 2 dodane przez PaLuSkA055 , 11.02.2012 16:00
Default avatar
Myśle, że te rozwiązanie bedzie łatwiejsze dla osób które nie rozumieją zapisu walika
Musisz się zalogować aby dodać komentarz

Znasz inny sposób na rozwiązanie tego zadania?

Dodaj swoje rozwiązanie

Dodaj swoje rozwiązanie:

Zabronione jest kopiowanie wszelkich treści!
Musisz się zalogować aby dodać rozwiazanie do zadania.
Strona korzysta z plików cookie w celu realizacji usług zgodnie z Polityką Prywatności. Możesz określić warunki przechowywania lub dostępu do cookie w twojej przeglądarce lub konfiguracji usługi.