Zadanie 30 Dany jest romb ABCD o boku długości 16 i polu powierzchni równym 128 pierwiastkow z 3. Oblicz długość dłuższej przekątnej tego rombu Zadanie 32 Punkty o współrzędnych A = (-2,-8), B = (2,4), C = (-2,2) są wierzchołkami trapezu. Ramie trapezu AD jest prostopadłe do podstaw AB i CD. Oblicz współrzędne punktu D oraz pole powierzchni tego trapezu.

Zadanie 2249 (rozwiązane)

Ekspresowy Kurs Maturalny z matematyki

Zdajesz matematykę bo musisz? Przygotuj się do matury nawet w 7 dni! Zapisz się dzisiaj
Zadanie dodane przez Piotrz_6996 , 01.03.2012 17:54
Piotrz 6996 20120301162131 thumb
Zadanie 30

Dany jest romb ABCD o boku długości 16 i polu powierzchni równym 128 pierwiastkow z 3. Oblicz długość dłuższej przekątnej tego rombu Zadanie 32

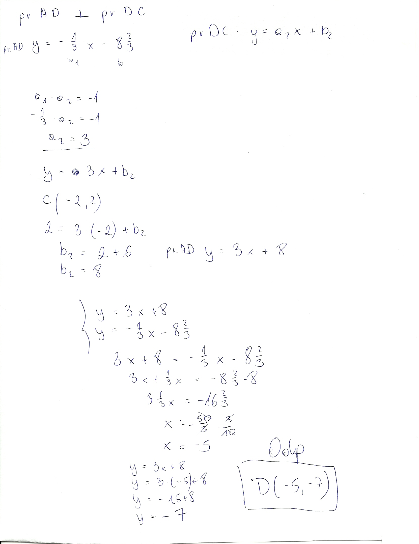
Punkty o współrzędnych A = (-2,-8), B = (2,4), C = (-2,2) są wierzchołkami trapezu. Ramie trapezu AD jest prostopadłe do podstaw AB i CD. Oblicz współrzędne punktu D oraz pole powierzchni tego trapezu.

Nadesłane rozwiązania ( 1 )

Rozwiązanie 1 dodane przez Martika , 01.03.2012 22:02
Default avatar
...
Musisz się zalogować aby dodać komentarz

Znasz inny sposób na rozwiązanie tego zadania?

Dodaj swoje rozwiązanie

Dodaj swoje rozwiązanie:

Zabronione jest kopiowanie wszelkich treści!
Musisz się zalogować aby dodać rozwiazanie do zadania.
Strona korzysta z plików cookie w celu realizacji usług zgodnie z Polityką Prywatności. Możesz określić warunki przechowywania lub dostępu do cookie w twojej przeglądarce lub konfiguracji usługi.