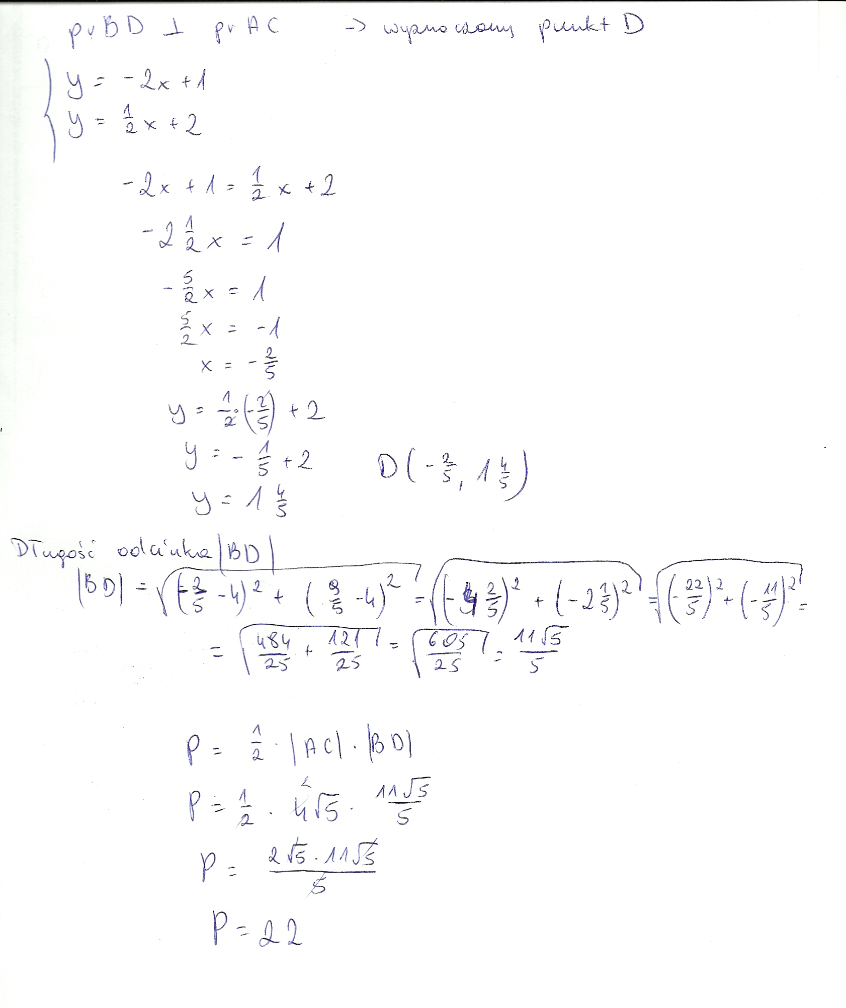
1zad.1.oblicz pole i obwód trójkąta o wierzchołkach A=(-1;3),B=(4;4),C=(3;-5)

Zadanie 2341 (rozwiązane)

Ekspresowy Kurs Maturalny z matematyki

Zdajesz matematykę bo musisz? Przygotuj się do matury nawet w 7 dni! Zapisz się dzisiaj
Zadanie dodane przez wiola2409 , 05.03.2012 11:04
Wiola2409 20111208224647 thumb
1zad.1.oblicz pole i obwód trójkąta o wierzchołkach A=(-1;3),B=(4;4),C=(3;-5)

Nadesłane rozwiązania ( 1 )

Rozwiązanie 1 dodane przez Martika , 05.03.2012 13:43
Default avatar
...
Musisz się zalogować aby dodać komentarz

Znasz inny sposób na rozwiązanie tego zadania?

Dodaj swoje rozwiązanie

Dodaj swoje rozwiązanie:

Zabronione jest kopiowanie wszelkich treści!
Musisz się zalogować aby dodać rozwiazanie do zadania.
Strona korzysta z plików cookie w celu realizacji usług zgodnie z Polityką Prywatności. Możesz określić warunki przechowywania lub dostępu do cookie w twojej przeglądarce lub konfiguracji usługi.