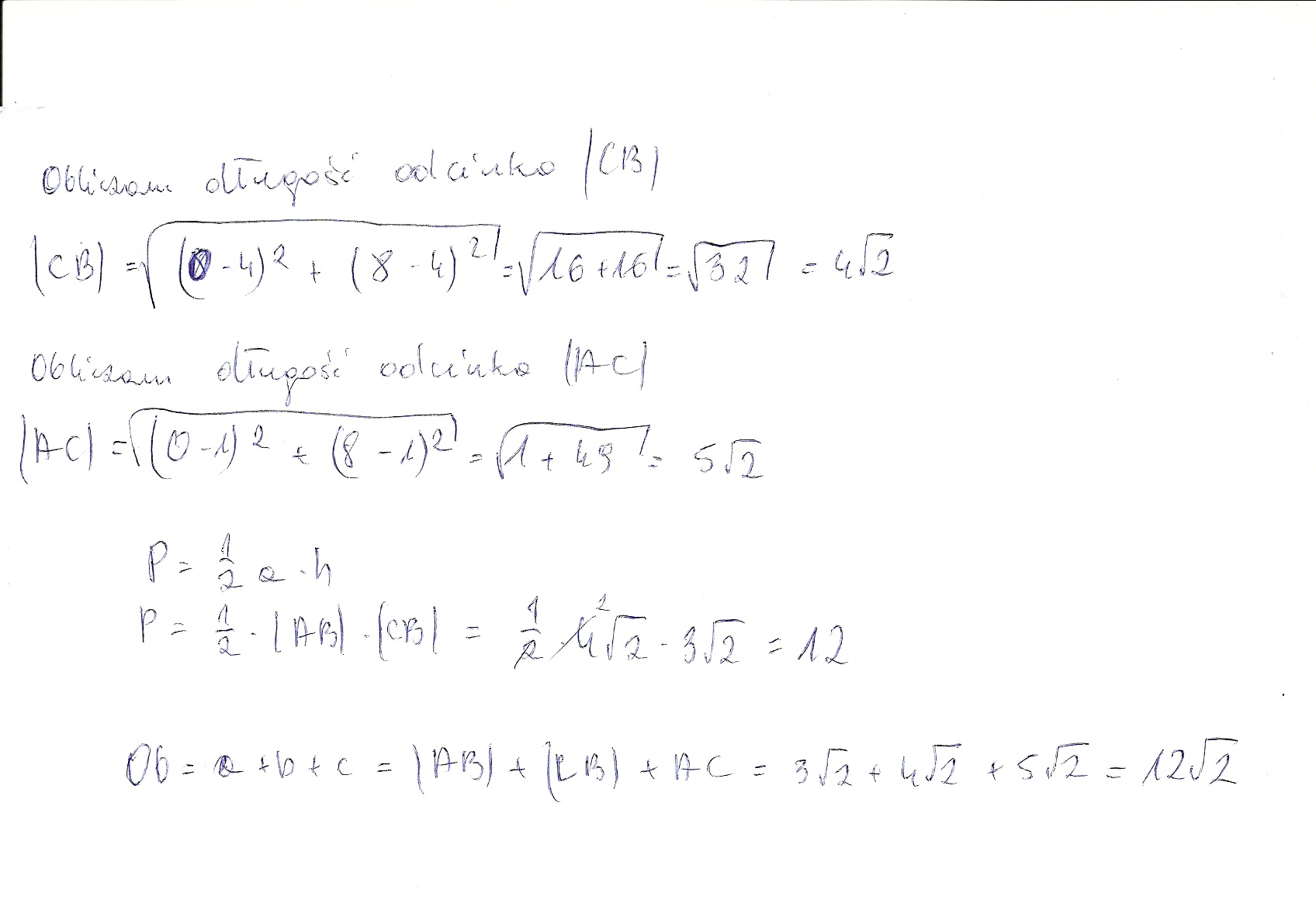
oblicz obwód i pole trójkąta o wierzchołkach A=(1;1) B=(4;4) C=(0;8)

Zadanie 2344 (rozwiązane)

Ekspresowy Kurs Maturalny z matematyki

Zdajesz matematykę bo musisz? Przygotuj się do matury nawet w 7 dni! Zapisz się dzisiaj
Zadanie dodane przez wiola2409 , 05.03.2012 11:12
Wiola2409 20111208224647 thumb
oblicz obwód i pole trójkąta o wierzchołkach A=(1;1) B=(4;4) C=(0;8)

Nadesłane rozwiązania ( 1 )

Rozwiązanie 1 dodane przez Martika , 05.03.2012 13:13
Default avatar
....
Musisz się zalogować aby dodać komentarz

Znasz inny sposób na rozwiązanie tego zadania?

Dodaj swoje rozwiązanie

Dodaj swoje rozwiązanie:

Zabronione jest kopiowanie wszelkich treści!
Musisz się zalogować aby dodać rozwiazanie do zadania.
Strona korzysta z plików cookie w celu realizacji usług zgodnie z Polityką Prywatności. Możesz określić warunki przechowywania lub dostępu do cookie w twojej przeglądarce lub konfiguracji usługi.