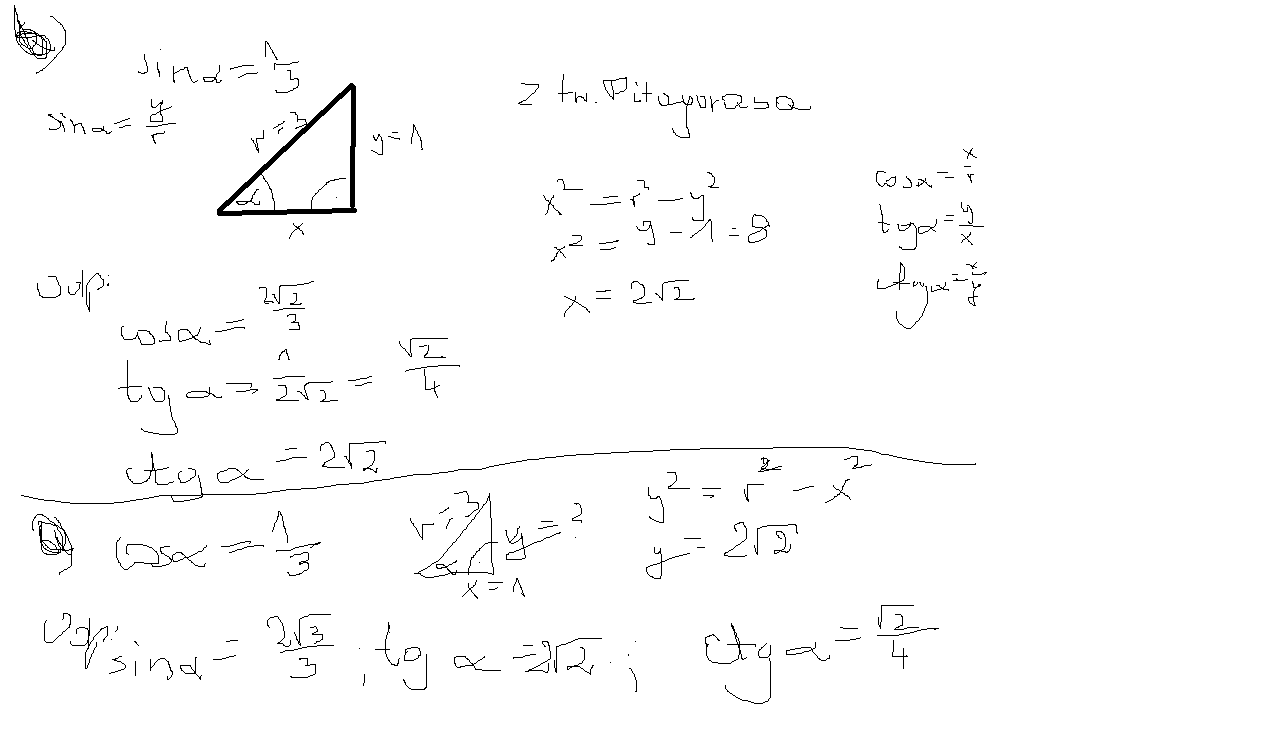
1.wiedząc ze cos$\alpha$=$\frac{1}{3}$\($\alpha$\in($0^{\circ}$,\$90^{\circ}$ oblicz wartosc pozostałych wartości trygonometrycznych. wiedząc ze sin $\alpha$=$\frac{1}{3}$\($\alpha$\in($0^{\circ}$\$90^{\circ}$ oblicz pozostałych wartości trygonometrycznych.

Zadanie 4091 (rozwiązane)

Ekspresowy Kurs Maturalny z matematyki

Zdajesz matematykę bo musisz? Przygotuj się do matury nawet w 7 dni! Zapisz się dzisiaj
Zadanie dodane przez kingaa1 , 27.10.2012 18:58
Default avatar
1.wiedząc ze cos\alpha=\frac{1}{3}\(\alpha\in(0^{\circ},\90^{\circ} oblicz wartosc pozostałych wartości trygonometrycznych.


wiedząc ze sin \alpha=\frac{1}{3}\(\alpha\in(0^{\circ}\90^{\circ} oblicz pozostałych wartości trygonometrycznych.

Nadesłane rozwiązania ( 1 )

Rozwiązanie 1 dodane przez monijatcz , 27.10.2012 22:24
Monijatcz 20121028144130 thumb
zapisane w paint - załącznik
Musisz się zalogować aby dodać komentarz

Znasz inny sposób na rozwiązanie tego zadania?

Dodaj swoje rozwiązanie

Dodaj swoje rozwiązanie:

Zabronione jest kopiowanie wszelkich treści!
Musisz się zalogować aby dodać rozwiazanie do zadania.
Strona korzysta z plików cookie w celu realizacji usług zgodnie z Polityką Prywatności. Możesz określić warunki przechowywania lub dostępu do cookie w twojej przeglądarce lub konfiguracji usługi.