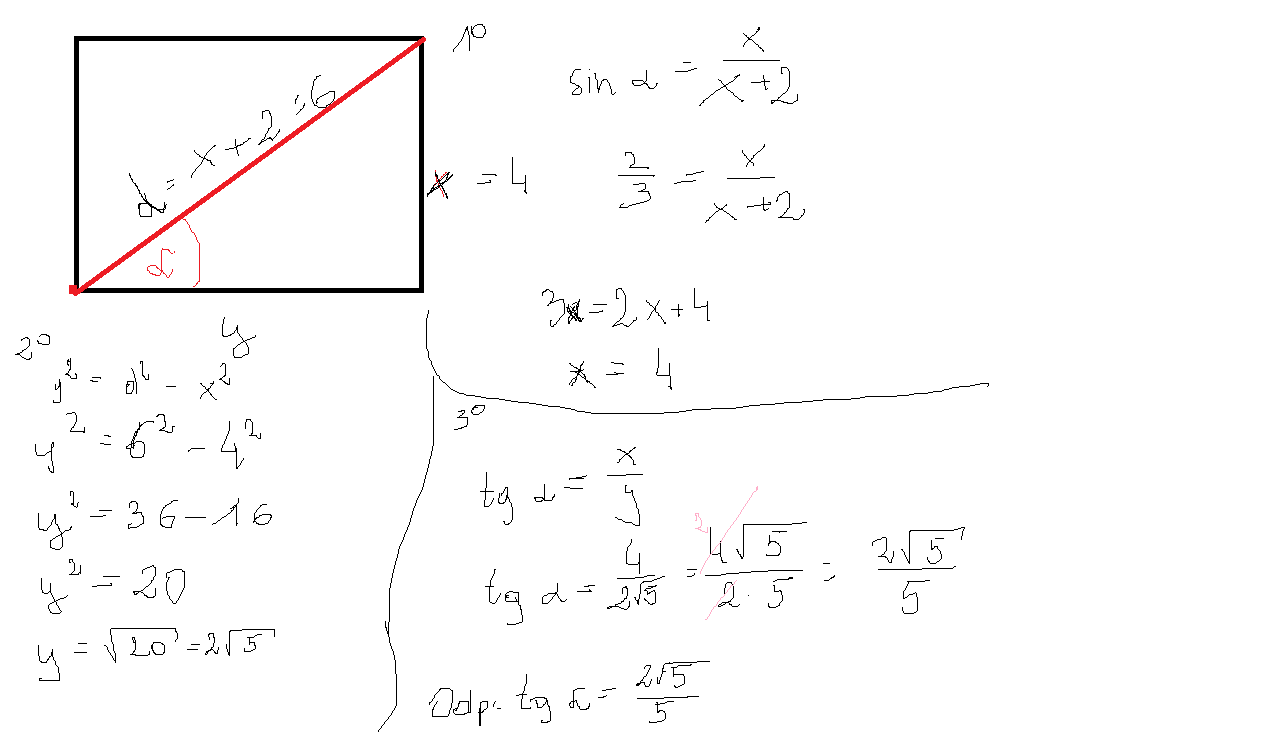
Przekątna prostokąta jest nachylona do dłuższego boku pod kątem $\alpha$ , takim, że sin $\alpha$ =$\frac{2}{3}$ . Przekątna jest dłuższa od szerokości prostokąta o 2. Oblicz tg $\alpha$ .

Zadanie 5056 (rozwiązane)

Ekspresowy Kurs Maturalny z matematyki

Zdajesz matematykę bo musisz? Przygotuj się do matury nawet w 7 dni! Zapisz się dzisiaj
Zadanie dodane przez nonszalancka , 17.12.2012 16:17
Default avatar
Przekątna prostokąta jest nachylona do dłuższego boku pod kątem \alpha , takim, że sin \alpha =\frac{2}{3} . Przekątna jest dłuższa od szerokości prostokąta o 2. Oblicz tg \alpha .

Nadesłane rozwiązania ( 1 )

Rozwiązanie 1 dodane przez monijatcz , 17.12.2012 18:26
Monijatcz 20121028144130 thumb
załącznik
Musisz się zalogować aby dodać komentarz

Znasz inny sposób na rozwiązanie tego zadania?

Dodaj swoje rozwiązanie

Dodaj swoje rozwiązanie:

Zabronione jest kopiowanie wszelkich treści!
Musisz się zalogować aby dodać rozwiazanie do zadania.
Strona korzysta z plików cookie w celu realizacji usług zgodnie z Polityką Prywatności. Możesz określić warunki przechowywania lub dostępu do cookie w twojej przeglądarce lub konfiguracji usługi.