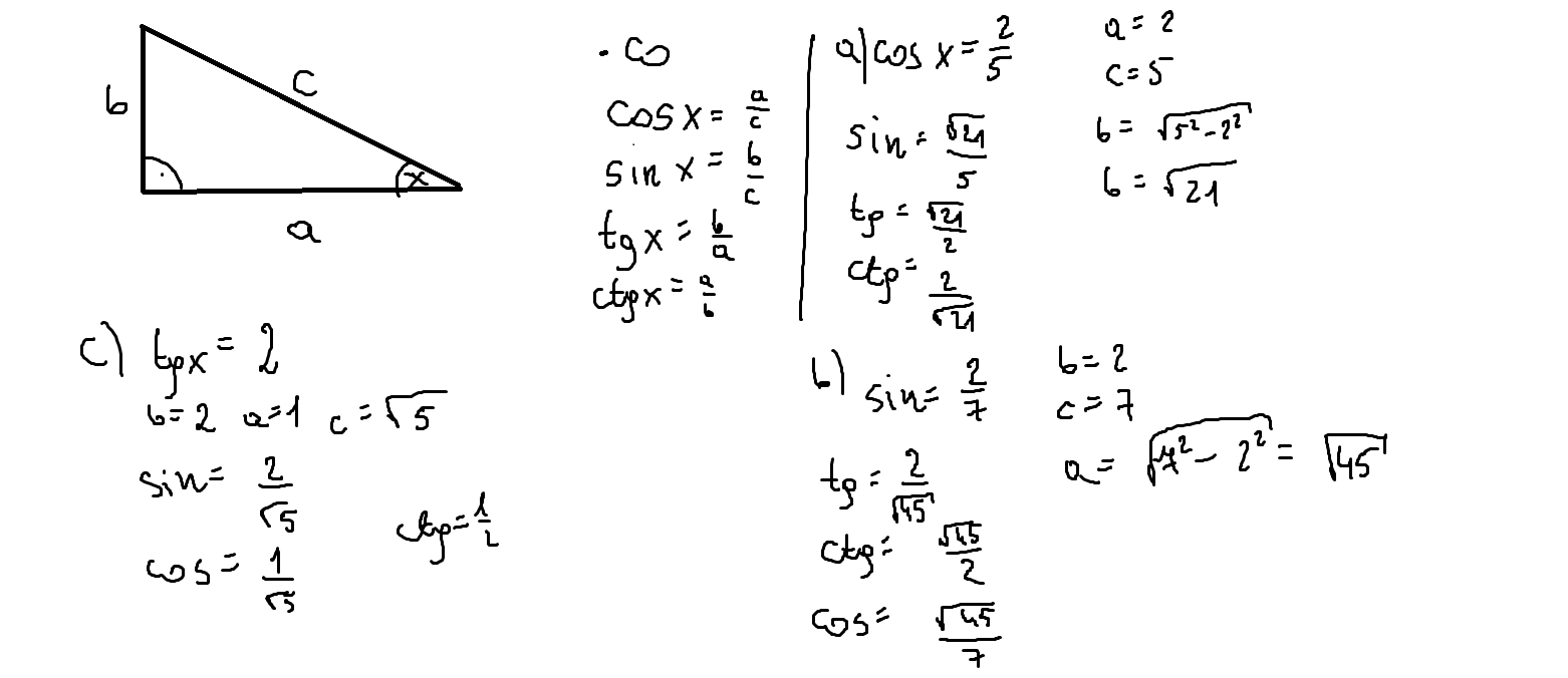
Oblicz pozostałe wartości funkcji trygonometrycznych, wiedząc, że: a) cos x = 2/5 b) sin x = 2/7 c) tgx = 2

Zadanie 6723 (rozwiązane)

Ekspresowy Kurs Maturalny z matematyki

Zdajesz matematykę bo musisz? Przygotuj się do matury nawet w 7 dni! Zapisz się dzisiaj
Zadanie dodane przez Larra , 17.10.2013 10:23
Default avatar
Oblicz pozostałe wartości funkcji trygonometrycznych, wiedząc, że:
a) cos x = 2/5
b) sin x = 2/7
c) tgx = 2

Nadesłane rozwiązania ( 1 )

Rozwiązanie 1 dodane przez iron_slax , 17.10.2013 10:41
Iron slax 20130911170220 thumb
W załączniku. Powinno być dobrze
    • Default avatar
      Larra 17.10.2013 10:44

      WIELKIE DZIĘUJĘ!!!!

Musisz się zalogować aby dodać komentarz

Znasz inny sposób na rozwiązanie tego zadania?

Dodaj swoje rozwiązanie

Dodaj swoje rozwiązanie:

Zabronione jest kopiowanie wszelkich treści!
Musisz się zalogować aby dodać rozwiazanie do zadania.
Strona korzysta z plików cookie w celu realizacji usług zgodnie z Polityką Prywatności. Możesz określić warunki przechowywania lub dostępu do cookie w twojej przeglądarce lub konfiguracji usługi.